Revision of Ver.7.4.1Function
Enter the temperature differences between specific locations of beam for thermal stress analysis. The vertical temperature gradient is considered in concrete and steel superstructures with concrete decks, which are subject to temperature difference due to direct sun light and shade.
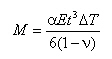
The temperature gradient analysis is applicable for elements with bending stiffness such as beam and plate elements. The gradient temperature produces the following equivalent moments:
In the case of a beam element

In the case of a plate element

Where, is the linear thermal expansion coefficient, E is the modulus of elasticity, I is the moment of inertia about the relevant axis of the beam element, is the temperature difference between the two extremities (outermost faces) of the element, h is the distance between the two extremities of the beam section, t is the thickness of the plate and is the Poisson's Ratio.
A temperature difference may be also defined by the Temperature Gradient function. In case of Temperature Gradient, only the temperature difference between the top and bottom of a section can be entered. However, in case of Beam Section Temperature, temperature differences for certain locations in a section can be entered.

Call
From the Main Menu select Load > Temperature Loads > Beam Section Temperature.
Select Static Loads > Temperature Loads > Beam Section Temperature in the Menu tab of the Tree Menu.
Entry
|
|
|
Section TemperatureInitial
Temperature
Specify the initial temperature in ?a href="..\..\04_Model\Structure_Type.htm">Structure
Type?
Material
Define the material properties of the beam elements.
Element: Apply the material property information of the selected beam elements.
Input: Define the material properties to be applied to the thermal stress analysis.
Elast.: Modulus of elasticity
Therm.: Thermal expansion coefficient
Revision of Ver.7.4.1
B: Width being considered for temperature difference. If a section for which the temperature difference is to be considered is not a rectangle, the section needs to be transformed into an equivalent rectangular section.
H1, H2: Distances defining the locations of temperature differences from the reference position of the beam element
T1, T2: Temperatures at H1 and H2 respectively
Click
to add the input data
to the list. To modify the data, click
after selecting and
revising the relevant data.
is similarly used.
Note
When a temperature load is applied linearly to structural elements, self-restrained
stresses do not occur. However, if a nonlinear temperature load is applied
to structural elements, self-restrained stresses may take place. Such
internal retrained stresses occur without the presence of external restraints
causing residual stresses internally.