Function
Based on a lateral load case, displacement participation by each element for each force component (Axial, Torsional, Moment-y, Moment-z, Shear-y & Shear-z) can be checked in Contour and Value. In order to check the displacement participation factor, a unit load needs to be input in the direction of the lateral load at the location of the maximum displacement.
Call
From the Main Menu select Results > Displacement Participation Factor.
Select Results > Displacement Participation Factor in the Menu tab of the Tree Menu.
Usage
|
|
Displacement Load CaseSelect a desired lateral load case for which we wish to investigate the displacement participation factors of the elements/sections. Click to the right to add new or modify/delete previously defined load cases. (Refer to Load Cases.) Unit Load Case Select a unit load case, which is applied at the location of the maximum lateral displacement. Displacement participation factors of the elements/sections are relative to the location and direction of the unit load. Click to the right to add new or modify/delete previously defined load cases. (Refer to Load Cases.) Type of Results Element: Displacement participation factors by elements Note
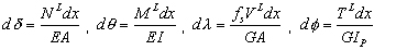
where,
Section: Displacement participation factors by section properties Note
where,
m : Number of elements having identical section properties |
Let us take an example of a simply supported beam, which exhibits a deflection of ツ under the external load L (Fig. 1a). We then apply a unit load at the location of ツ (Fig. 1b) in the same direction of ツ
(a) (b)
Fig. 1 Unit load method
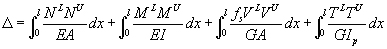
The external virtual work ( ) in Fig. 1b is expressed as

The deflection ツ due to the external load L in Fig. 1a can be expanded into axial deformation , flexural deformation , shear deformation and torsional deformation . And the internal force in the simple beam due to the unit load is consisted of . The internal virtual work done by the unit load to cause the deformation ツ becomes

If the above beam behaves linearly, and we define the internal forces caused by the external load L as , the deformation of the beam element becomes

We then apply the principle of virtual work, ( ), to derive the equation of the unit-load method.

where, : shape factor for shear
Expanding the concept of the unit load method to a building subject to a wind load as shown in Fig. 2b, we apply a unit load at the top of the building as Fig. 2a to find the maximum lateral displacement. If we consider the maximum displacement due to the wind as a virtual displacement is the sum of displacements contributed by the individual elements.

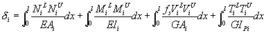
where, m : Number of elements
is said to be the displacement participation of each element, which is expressed as

Displacement participation in a lateral resisting system can be quantified and as such it can be optimized.

Fig. 2 Unit load application for lateral displacement calculation
Select a component for displacement participation by elements and section properties.
Total: Sum of displacement participation for all the components
Axial: Displacement participation for axial component in the x-axis direction of the Element Coordinate System
Torsional: Displacement participation for torsional moment component about the x-axis of the Element Coordinate System
Moment-y: Displacement participation for bending moment component about the y-axis of the Element Coordinate System
Moment-z: Displacement participation for bending moment component about the z-axis of the Element Coordinate System
Shear-y: Displacement participation for shear force component in the y-axis of the Element Coordinate System
Shear-z: Displacement participation for shear force component in the z-axis of the Element Coordinate System
Type of Display
Define the type of display as follows:
|
Contour |
Display the displacement participation of the model in contour.
|
|
Ranges: Define the contour ranges. : Assign the color distribution range of contour. Using the function, specific colors for specific ranges can be assigned. Note Number of
Colors: Assign the number of colors to be included in the contour
(select among 6, 12, 18, 24 colors) Colors: Assign or control the colors of the displacement contour. Color Table: Assign the type of Colors. : Control the colors by zones in the contour. Reverse Contour: Check on to reverse the sequence of color variation in the contour. Contour Line: Assign the boundary line color of the contour Element
Edge: Assign the color of element edges while displaying the contour Contour Options: Specify options for contour representation Contour Fill Gradient
Fill: Display color gradient (shading) in the contour. Draw Contour
Line Only Mono line: Display the boundaries of the contour in a mono color. Contour
Annotation Spacing: Display the spacing for the legnd or annotation. Coarse Contour
(faster) (for large plate or solid
model) Extrude
|
|
Values |
Display the
nodal displacements in numerical values.
|
|
Decimal
Points: Assign decimal points for the displayed numbers Min
& Max: Display the maximum and minimum values Set Orientation: Display orientation of numerical values Note
|
|
Legend |
Display various references related to analysis results to the right or left of the working window. Element numbers pertaining to the maximum and minimum forces are displayed. |
|
Legend Position: Position of the legend in the display window Rank Value Type: Values for Legend (Exponential or fixed values) |
Type of Display
Click the Displ. Participation Factor button to prompt a dialog box, which shows the prediction of lateral displacement and the change of weights based on changing sections.

Section for Design dialog box
:
Used to change sections selected in the list
: Used to revert sections
selected in the list to the sections of the original model
: Used to revert all the changed
sections to the sections of the original model
Calculated Displacement: Lateral displacement
Displacement Decrease: Change (reduction) of displacement
Weight Increase steel: Increase in weight of structural steel
concrete: Increase in weight of concrete
: Incorporate the changed sections into the model.