Fiber Material Properties

 

 

 

Stress-strain relationships between reinforcing steel and concrete are defined to carry out pushover analysis using Fiber Elements. Each model is unique based on the proponents and specifications.

 

 

 

From the Main Menu select Pushover > Properties > Hinge Properties  >  Define Inelastic material Properties.

 

 

 

 

Each beam element's cross-section is divided into small fibers, and each fiber cell within the cross-section retains a linear and nonlinear Stress-Strain relationship.  

 

The properties of fiber materials are defined.

 

 

 

: Enter or add a new fiber material property.

 

: Modify or check a fiber material property previously defined.

 

: Delete a fiber material property previously defined.

 

 

 

Name: Name of a fiber element model to be defined

 

Material Type: Steel or concrete for which a hysteresis model will be defined

 

Hysteresis Model: Select a hysteresis model to define a fiber element out of 4 reinforcing steel models and 5 concrete models.  

 

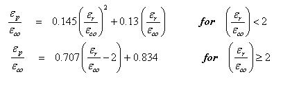
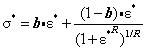
Skeleton Curve: Specify the property values defining the hysteretic behavior of the fiber material following the diagram.

 

 

Concrete

 

  • Kent & Park Model

  • Japan Concrete Standard Specification Model

  • Japan Roadway Specification Model

  • Nagoya Highway Corporation Model

  • Trilinear Concrete Model

  • Mander Model

 

 

Steel

 

  • Menegotto-Pinto Model

  • Bilinear Model

  • Asymmetrical Bilinear Steel Model

  • Trilinear Steel Model