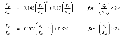
일반적인 이선형 철근 모델을 심화한
모델로서 항복 후 철근의 강성을 임의로 정의할 수 있으며, 철근의 좌굴과 파단 등을 고려할 수 있습니다.
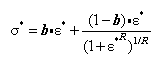
.bmp)
σ_y : 인장측 항복강도
σ_cy : 압축측 항복강도
ε1 : 철근의 압축 좌굴 발생시의
변형률
ε2 : 인장 항복후 철근 파단 발생시의
변형률
E1 : 철근의 초기강성
E2 : 인장항복후 철근의 강성
E3 : 재하시 철근의 항복 이후 강성
E4 : 압축 항복 이후 철근의 강성
(음수값을 지정하면 마이너스 구배를 고려할 수 있습니다.)
E5 : 압축항복이 발생한 철근의 좌굴
이후의 강성
본 모델은 철근의
압축-인장항복, 인장 파단, 압축 좌굴 등 다양한 상태까지 모사할 수 있는 모델입니다. 발생 가능한
이력 상태를 아래 그림에 나타내었습니다.

각 State 에
대한 자세한 설명은 다음과 같습니다.
인장거동이 주요한
철근 이력이므로 하중 재하 방향은 인장을 기본으로 고려합니다. 따라서 아래에서 제하(Unloading)는
인장상태에서 압축상태로 하중방향이 바뀐 것을 의미하며, 재재하(Reloading)은 압축 상태에서
인장상태로 하중방향이 진행되는 것을 의미합니다.
State 1 :
탄성거동 상태로서 E1을 기울기로 탄성거동을 합니다.
1 → 2 = 항복상태로
전이 되는 것을 의미하며 인장 항복시에는 E2의 기울기로, 압축 항복시에는 E4의 기울기로 거동합니다.
State 2 :
항복이후 상태로서 E2를 기울기로 거동합니다.
2 → 4 = 항복이후에
제하(Unloading) 또는 재재하 (Reloading) 되는 상태를 의미합니다.
2 → 8 = 항복이후에
인장이 지속되어 인장 파단이 일어난 상태를 의미합니다. 파단이 일어난 뒤에는 응력이 무조건 0으로
계산됩니다.
State 3 :
제하가 계속 되어 압축부에서도 항복이 발생한 상태를 의미합니다. 기울기 E2로 거동하며,
E3직선과 변형률 축과의 교점이 ε2보다 크도록 E3를 입력합니다.
3 → 4 = 재재하(Reloading)가
일어나는 상태를 의미하며 E1 을 기울기로 거동하게 됩니다.
3 → 5 = 제하(Unloading)가
계속되고 압축변형이 ε1을 초과하여 압축 좌굴이 시작되는 것을 의미합니다. E5의 기울기로
거동하게 됩니다.
State 4 :
제하, 재재하시에 탄성강성E1를 기울기로 거동하는 상태를 의미합니다. 이 상태에서의 제하, 재재하는
E1의 기울기로 진행됩니다.
4 → 2 = 재재하가
진행되어 인장항복상태로 넘어가는 과정을 의미합니다. 또는 제하가 진행되어 압축항복상태로 넘어가는
과정을 의미합니다.
4 → 3 = 제하가
진행되어 압축 항복이 발생한 상태를 의미합니다. E3가 E2와 다른 경우에도 상기 그림에 나타낸
바와 같이 E3 직선과 만나면 압축항복이 발생했다고 판단합니다.
4 → 5 = 제하가
진행되어 압축좌굴 상태로 접어드는 과정을 의미합니다.
State 5 :
압축변형률이 좌굴 발생 변형률을 초과하여 철근의 좌굴이 발생한 상태를 의미합니다. 기울기 E5 로
거동하게 됩니다.
5 → 4 = 압축좌굴
도중에 재재하가 진행되는 상태를 의미합니다.
5 → 7 = 압축이
계속되어 철근이 완전히 압축좌굴된 상태를 의미합니다. State 7이후에는 압축하중하에서는 응력이
'0' 으로 됩니다.
State 6 :
압축좌굴 이후에 재재하되는 상태를 의미합니다. 이때 인장측 항복이 발생하기 이전이면 σy을
향해서 재재하가 진행됩니다.
인장측
항복이 발생한 이후라면 인장측 최대점을 향해 재재하가 진행되도록 합니다.
6 → 2 = 재재하가
진행되어 인장항복이 발생한 상태를 의미합니다.
6 →-1 = 재재하가
진행되다가 제하가 발생한 상태를 의미합니다.
State 7 :
완전한 압축좌굴이 발생한 상태를 의미하며 더 이상 압축응력을 발생시키지 못하는 상태입니다. 압축응력은
0이 되지만 인장력에는 저항할 수 있습니다.
7 → 6 = 재재하가
발생하여 인장최대점을 향해 진행되는 상태를 의미합니다.
State 8 :
인장 파단이 발생하여 더 이상 인장응력을 발생시키지 못하는 상태를 의미합니다. 인장파단이 발생하면
더 이상 인장, 압축 어떤 응력도 발생시키지 못한다고 봅니다.
State -1:
압축좌굴이후의 재재하 과정(state6)에서 제하가 발생한 상태를 의미합니다. 탄성강성 E1으로
거동하게 됩니다.
-1 → 6 : 재재하가
발생하여 다시 인장최대점을 향해 진행되는 상태를 의미합니다.
-1 → 7 : 제하가
진행되어 완전 압축좌굴상태로 전이되는 상태를 의미합니다.
이상과 같이 다양항
상태와 전이를 고려한 모델이므로 사용자의 충분한 이해가 바탕되고 실험적 수치들을 적절히 사용한다면
뛰어난 활용능력을 가지는 모델이 될 것입니다. 그러나 인장파단과 압축 좌굴 이후와 같은 극한 상태에서는
저항응력이 전혀 없이 0이 되기 때문에 주의가 필요합니다. |