Prestress Beam Loads

 

기능

IMG_C_ICON_DOT.gifPrestress Beam Loads 기능은 보요소에 프리스트레스하중을 입력하거나 이미 입력된 하중을 수정 또는 삭제합니다.

IMG_C_ICON_DOT.gif보요소에 프리스트레스하중을 입력하는 개념은 아래 그림과 같습니다.

IMG_C_ICON_DOT.gifmidas Civil 에서 Cable Drape는 편심점 3개소를 지나는 2차 곡선상에 위치하며, 편심점은 보요소의 요소 좌표계 x-z 평면상에 위치하는 것으로 가정합니다. 또한 Cable의 인장은 Drape의 전체길이에 걸쳐 일정한 것으로 가정합니다.

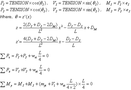
IMG_C_ICON_DOT.gif그리고 정확한 계산 산정을 위해 보요소를 4등분한 다음 각 세부요소에서 다음과 같은 순서로 프리스트레스에 의해 보요소에 가해지는 등가하중을 산정합니다.

1. Cable Drape의 곡선식을 산정합니다.

2. 부재의 4등분선과 Cable Drape의 교차점에서 좌표와 2차 곡선의 기울기를 산정합니다.

3. 보요소에서 반력 및 모멘트와 세분된 요소에서의 분포력은 아래의 식에 의해서 산정합니다.

 Prestress_Beam_Loads(e).bmp

Prestress_Beam_Loads_a.bmp

(a) 프리스트레스하중이 가해진 보부재

 

(b) 프리스트레스하중에 의해 보요소에 가해지는 등가하중 

 

호출

IMG_C_ICON_DOT.gif메인 메뉴에서 [Load] 탭 > [Temp./Prestress(Type)] 그룹 > [Prestress Beam Loads]

 

입력

Prestress_Beam_Loads.jpg

Prestress Beam Loads 대화상자

Load Case Name

단위하중조건 선택란에서 원하는 하중조건을 지정합니다. 추가로 하중조건을 입력하거나 수정, 삭제가 필요한 경우 우측의 예쁜_버튼.jpg 버튼을 이용합니다.

 

Load Group Name

프리스트레스 하중을 적용할 하중 그룹을 지정합니다. 새로운 하중 그룹을 추가로 입력하거나 수정, 삭제가 필요한 경우에는 우측의 예쁜_버튼.jpg 버튼을 이용합니다.

 

Option

Add : 임의의 보요소에 프리스트레스하중을 신규 또는 추가 입력할 경우 지정

Replace : 임의의 보요소에 이미 입력된 프리스트레스하중을 대체 입력할 경우 지정

Delete : 임의의 보요소에 이미 입력된 프리스트레스하중을 삭제할 경우 지정

 

Loads

Load Type 선택란 하부의 안내그림을 참고하여 Drape 형상과 Pretension 값을 입력합니다.

Tension : Pretension Force ( 양수만 허용)

Di : 보요소의 시작점(i 쪽 또는 N1단부 )에서 요소좌표계 ± z방향으로의 Cable Drape

Dm : 보요소의 중앙점에서 요소좌표계 ± z방향으로의 Cable Drape

Dj : 보요소의 끝점(j 쪽 또는 N2단부)에서 요소좌표계 ± z방향으로의 Cable Drape

 

Selection Type

프리스트레스 하중을 재하할 요소의 선택 방법을 지정합니다.

Selection : 선택된 여러 개의 요소에 개별적으로 프리스트레스 하중 재하

Line (by 2 Nodes) mouse.jpg : 2개의 절점으로 선택된 요소들을 하나의 요소로 고려하여 프리스트레스 하중 재하

IMG_C_ICON_PAGE_TOP_01.gif