|
.bmp)
Define Inelastic Hinge Properties ´ëÈ»óÀÚ
: ºñź¼ºÈùÁö ¼Ó¼ºÀ» ½Å±Ô·Î ÀÔ·ÂÇϰųª Ãß°¡ÇÕ´Ï´Ù.
: ÀÌ¹Ì ÀÔ·ÂµÈ ºñź¼ºÈùÁö ¼Ó¼ºÀ» ¼öÁ¤Çϰųª ÀÔ·ÂµÈ ºñź¼ºÈùÁö Á¶°ÇÀ» È®ÀÎÇÕ´Ï´Ù.
: ÀÌ¹Ì ÀÔ·ÂµÈ ºñź¼ºÈùÁö ¼Ó¼ºÀ» »èÁ¦ÇÕ´Ï´Ù.
: CSV file·Î ÀúÀåµÈ ºñź¼ºÈùÁö ¼Ó¼ºÀ» ºÒ·¯µéÀÔ´Ï´Ù.
: ºñź¼ºÈùÁö ¼Ó¼ºÀ» CSV file·Î Ãâ·ÂÇÕ´Ï´Ù.
: ºñź¼ºÈùÁö ¼Ó¼º Á¤ÀÇ ´ëÈ»óÀÚ¸¦ ´Ý½À´Ï´Ù.

Yield Strength(Surface) Calculation Method- User Type, Interaction Type-NoneÀ¸·Î Á¤ÀÇµÈ ºñź¼ºÈùÁö ¼Ó¼º¸¸ Ãâ·Â °¡´ÉÇÏ´Ù.

CSV Export & Description 

Add/ Modify Inelastic Hinge Properties ´ëÈ»óÀÚ
|
Name
|
ºñź¼ºÈùÁö ¼Ó¼ºÀÇ ¸íĪÀ» ÀÔ·ÂÇÕ´Ï´Ù.
|
|
Description
|
Á¤ÀÇÇÏ´Â ºñź¼º ÈùÁö¼Ó¼º¿¡ ´ëÇÑ °£´ÜÇÑ ¼³¸í¹®À» ÀÔ·ÂÇÒ ¼ö ÀÖ½À´Ï´Ù.
|
|
Yield Strength(Surface) Calculation Method
|
User Input : ºñź¼º ÈùÁö¼Ó¼ºÀ» »ç¿ëÀÚ°¡ Á÷Á¢ ÀÔ·ÂÇÕ´Ï´Ù.
Auto-calculation : ¼±ÅÃµÈ ÀçÁú, ´Ü¸é ¹× ºÎÀçÁ¤º¸¸¦ ÀÌ¿ëÇÏ¿© ºñź¼º ÈùÁö¼Ó¼ºÀ» ÀÚµ¿À¸·Î °è»êÇÕ´Ï´Ù.
|
|
Type
|
ºñź¼º ÈùÁöÀÇ ÇüŸ¦ Á¤ÀÇÇϸç 4°¡Áö ŸÀÔÀ» Á¦°øÇÕ´Ï´Ù.
Beam-Column
Lumped : Beam-Column TypeÀÇ ÁýÁßÇü ÈùÁöÇüÅÂÀÔ´Ï´Ù. ºÎÀçÀÇ ¾ç´ÜºÎ ¹× Á߾Ӻο¡ ¹èÄ¡µÈ º´Áø ¶Ç´Â ȸÀü½ºÇÁ¸µ¿¡¼ ºñź¼º °Åµ¿ÀÌ ÁýÁßµÇ¸ç ºÎÀçÀÇ ³ª¸ÓÁö ºÎºÐÀº ź¼º°Åµ¿À» ÇÏ´Â °ÍÀ¸·Î °¡Á¤ÇÕ´Ï´Ù. ºñź¼º À̷°ŵ¿Àº °æÇèÀû À̷¸𵨷νá Á¤ÀǵǴ »À´ë°î¼±(skeleton)À¸·Î Á¤ÀÇÇÒ ¼ö ÀÖ½À´Ï´Ù. ºÎÀç Ãà¹æÇâ ¼ººÐ(Fx)¿¡ ´ëÇØ¼´Â ºÎÀç Áß¾Ó(center)¿¡ Èû-º¯À§°ü°è·Î Á¤ÀǵǴ ½ºÇÁ¸µÀ» ¹èÄ¡Çϸç,Fy,Fz 2°³ÀÇ Àü´Ü¼ººÐ¿¡ ´ëÇØ¼´Â ºÎÀç ¾ç³ªºÎ(I,J ¶Ç´Â I & J)¿¡ Èû-º¯À§·Î Á¤À¸µÇ´Â ½ºÇÁ¸µÀ» ¹èÄ¡ÇÕ´Ï´Ù. ¶ÇÇÑ, My, MzÀÇ 2°³ÀÇ ÈÚ ¼ººÐ¿¡ ´ëÇØ¼´Â ºÎÀç ¾ç´ÜºÎ(I, J ¶Ç´Â I&J)¿¡ ¸ð¸àÆ®-ȸÀü°¢ °ü°è·Î Á¤ÀǵǴ ½ºÇÁ¸µÀ» ¹èÄ¡ÇÕ´Ï´Ù
Distributed : Beam-Column TypeÀÇ ºÐ»êÇü ÈùÁöÇüÅÂÀÔ´Ï´Ù. ÁýÁßÇü ÈùÁöÇüÅ¿ʹ ´Þ¸® ºÎÀçÀÇ Àü ±¸°£¿¡ ´ëÇÏ¿© ºñź¼º °Åµ¿ÀÌ ¹ß»ýÇÑ´Ù°í °¡Á¤ÇÕ´Ï´Ù. »ç¿ëÀÚ¿¡ ÀÇÇÏ¿© ÁöÁ¤µÈ ºÎÀç ±æÀ̹æÇâÀÇ ¼Ò¼ºÈùÁö À§Ä¡°¡ ÀûºÐÁ¡À¸·Î Á¤ÀÇµÇ°í ºÎÀçÀÇ ³»·ÂºÐÆ÷¸¦ ³ªÅ¸³»´Â ´Ü¸éÀÇ À¯¿¬µµ Çà·ÄÀº Gauss-Lobatto ¼öÄ¡ ÀûºÐ¹ýÀ» ÅëÇÏ¿© °è»êµË´Ï´Ù. ÀûºÐÁ¡ÀÇ °³¼ö´Â 1~20°³±îÁö ÀÔ·ÂÇÒ ¼ö ÀÖ½À´Ï´Ù. ºñź¼º À̷°ŵ¿Àº °æÇèÀû À̷¸𵨷ΠÁ¤ÀǵǴ »À´ë°î¼±(skeleton)°ú ¼¶À¯(fiber)¸ðµ¨·Î¼ Á¤ÀÇÇÒ ¼ö ÀÖ½À´Ï´Ù. Ãà¹æÇâ ¼ººÐÀÇ °æ¿ì¿¡´Â ´Ü¸é¿¡¼ÀÇ Èû-º¯Çüµµ °ü°è·Î Á¤ÀǵǸç ÈÚ ¼ººÐÀÇ °æ¿ì¿¡´Â ´Ü¸é¿¡¼ÀÇ ¸ð¸àÆ®-°î·ü°ü°è·Î ÈùÁö À̷°ŵ¿À» Ç¥ÇöÇÕ´Ï´Ù. 3°³ÀÇ Ãà¹æÇâ ¼ººÐ°ú, My, MzÀÇ 2°³ÀÇ ÈÚ ¼ººÐ¿¡ ´ëÇØ¼ ºñź¼º Ư¼ºÀ» Á¤ÀÇÇÒ ¼ö ÀÖ½À´Ï´Ù
Spring
Àç·á ¹× ºÎÀçÀÇ ºñź¼º Ư¼º¿¡ ¿µÇâÀ» ¹Þ´Â Lumped, Distributed ÈùÁö¿Í´Â ´Þ¸® Spring Hinge´Â General Link Properties¿¡¼ Á¤ÀÇµÈ °¢ ¼ººÐº° ź¼º Ư¼º¿¡ ´ëÇØ ºñź¼º ¼Ò¼ºÈùÁö ¼Ó¼ºÀ» Á¤ÀÇÇÒ ¼ö ÀÖ½À´Ï´Ù. °¢ ¼ººÐÀÇ Åº¼º°¼ºÀº À¯È¿°¼º¿¡ ÀÇÇÏ¿© Á¤ÀÇµÇ¸ç ºñź¼º ÇØ¼®¿¡¼´Â ÃʱⰼºÀÇ ¿ªÇÒÀ» ÇÕ´Ï´Ù. ½ºÇÁ¸µÀÇ ºñź¼º À̷°ŵ¿Àº »À´ë°î¼±(skeleton) ¸ðµ¨·Î Á¤ÀÇÇÕ´Ï´Ù. ½ºÇÁ¸µÀº 3°³ÀÇ º´Áø¹æÇâ°ú 3°³ÀÇ È¸Àü¹æÇâ¿¡ ´ëÇÏ¿© ¸ðµÎ ºñź¼º Ư¼ºÀ» Á¤ÀÇÇÒ ¼ö ÀÖ½À´Ï´Ù. ¶ÇÇÑ, LRB, HDR µîÀÇ ¸éÁøÀåÄ¡ ÀÌ·ÂÆ¯¼ºÀº Spring Type¿¡¸¸ Á¤ÀÇ °¡´ÉÇÕ´Ï´Ù.
Truss
ºÎÀç Ãà¹æÇâ ¼ººÐ¿¡ ´ëÇØ¼ ºÎÀç Áß¾Ó(center)¿¡ Èû-º¯À§°ü°è·Î Á¤ÀǵǴ 1°³ÀÇ ½ºÇÁ¸µÀ» ¹èÄ¡Çϸç, ½ºÇÁ¸µÀÇ ºñź¼º À̷°ŵ¿Àº »À´ë°î¼±(skeleton) ¸ðµ¨·Î Á¤ÀÇÇÕ´Ï´Ù.
|
|
Definition
|
ºñź¼º ÈùÁöÀÇ À̷°ŵ¿ ¸ðµ¨À» Á¤ÀÇÇÕ´Ï´Ù.
Skeleton : °æÇèÀû À̷¸𵨷μ ¹æÇ⺰ °¢ ¼ººÐÀÇ Æ¯¼ºÀº µ¶¸³ÀûÀ¸·Î °Åµ¿ÇÑ´Ù°í °¡Á¤ÇÏ´Â ÀÏÃàÈùÁö À̷¸ðµ¨(uni-axial hinge hysteresis model)·Î Á¤ÀÇÇÕ´Ï´Ù. ÀÏÃàÈùÁö´Â 3°³ÀÇ º´Áø ¹× 3°³ÀÇ È¸Àü ¼ººÐÀÌ »óÈ£µ¶¸³ÀûÀ¸·Î °Åµ¿ÇÏ´Â ÈùÁöÀÔ´Ï´Ù.
Fiber : Fiber ¸ðµ¨Àº ´ÙÃàÈùÁö À̷¸ðµ¨À» Á¤ÀÇÇϴµ¥ »ç¿ëµÇ¸ç º¸¿ä¼ÒÀÇ ´Ü¸éÀ» Ãà º¯Çü¸¸À» ÀÏÀ¸Å°´Â ¼¶À¯(fiber)·Î ºÐÇÒÇÏ¿© ÇØ¼®ÇÏ´Â ¸ðµ¨ÀÔ´Ï´Ù. Fiber ¸ðµ¨Àº ´Ü¸é»óÀÇ °¢ ¼¶À¯(fiber)¿¡¼ Àç·áÀÇ ÀÀ·Â-º¯ÇüÀ² °ü°è ¹× ´Ü¸éÀÇ º¯Çüµµ ºÐÆ÷Çü»ó °¡Á¤¿¡ ±âÃÊÇÏ¿© ´Ü¸éÀÇ ¸ð¸àÆ®-°î·ü °ü°è¸¦ ¸Å¿ì Á¤È®ÇÏ°Ô ÃßÀûÇÒ ¼ö ÀÖ½À´Ï´Ù.
|
|
Interaction Type
|
±âµÕ ¶Ç´Â °¡»õºÎÀç¿¡ ´ëÇÏ¿© Ãà·Â°ú ¸ð¸àÆ® »çÀÌÀÇ »ó°üÀÛ¿ëÀ» °í·ÁÇÏ´Â ¹æ½ÄÀ» ¼±ÅÃÇÕ´Ï´Ù.
None : Ãà·Â°ú ¸ð¸àÆ®ÀÇ »ó°üÀÛ¿ëÀ» °í·ÁÇÏÁö ¾Ê´Â °æ¿ìÀÔ´Ï´Ù.
P-M in Strength Calculation : ½Ã°£ÀÌ·ÂÇØ¼®¿¡¼ P-M »ó°üÀÛ¿ëÀº Ãà·ÂÀÇ ¿µÇâÀ» °í·ÁÇÏ¿© ÈùÁöÀÇ ÈÚÇ׺¹°µµ¸¦ »êÁ¤ÇÔÀ¸·Î½á ¹Ý¿µÇÒ ¼ö ÀÖ½À´Ï´Ù. ÀÌ ¹æ½Ä¿¡¼´Â 2Ãà ÈÚ¸ð¸àÆ®ÀÇ »ó°üÀÛ¿ëÀº ¹«½ÃµÇ¸ç °¢°¢ÀÇ ½Ã°£ÁõºÐ(time step)¿¡ ´ëÇÑ ÈùÁöÀÇ »óÅÂÆÇÁ¤À» ÇÒ ¶§´Â Ãà·Â°ú 2°³ÀÇ ÈÚ ¸ð¸àÆ®´Â ¸ðµÎ »óÈ£ µ¶¸³ÀûÀÎ °ÍÀ¸·Î °¡Á¤ÇÕ´Ï´Ù.
Ãà·ÂÀ» °í·ÁÇÑ ÈÚ ¸ð¸àÆ® Ç׺¹°µµÀÇ Àç»êÁ¤Àº ´ÙÀ½ Á¶°ÇÀ» ¸¸Á·ÇÏ´Â ÇÏÁßÁ¶°Ç¿¡¼ ¼öÇàÇÕ´Ï´Ù.
1) ¿¬¼ÓÀûÀ¸·Î ÇØ¼®µÇ´Â ÀÏ·ÃÀÇ ½Ã°£ÀÌ·Â ÇÏÁßÁ¶°Ç °¡¿îµ¥ ù¹øÂ°ÀÏ °Í.
2) ºñ¼±Çü Á¤ÀûÇØ¼®À» ¼öÇàÇÒ °Í.
´ë»ó ¿ä¼Ò´Â P-M »ó°üÀÛ¿ëÀÌ Àû¿ëµÇ´Â ÈùÁö ¼Ó¼ºÀÌ ºÎ¿©µÈ ºñź¼º º¸¿ä¼ÒÀÔ´Ï´Ù. ÀÌ ¶§ Ãʱâ´Ü¸é·ÂÀº ½Ã°£º¯µ¿ Á¤ÀûÇÏÁß(time varying static load)¿¡ Æ÷ÇԵǴ ¸ðµç Á¤ÀûÇÏÁß¿¡ ´ëÇÑ ¼±Çüź¼º ÇØ¼®°á°úÀÇ Á¶ÇÕÀ¸·Î °¡Á¤µÇ¸ç Á¶ÇÕ¿¡ »ç¿ëµÇ´Â °è¼ö´Â ½Ã°£º¯µ¿ Á¤ÀûÇÏÁß¿¡ ÀÔ·ÂÇÏ´Â Scale Factor¿¡ ÀÇÇØ Á¤Àǵ˴ϴÙ.
P-M-M in Status Determination : ÀÌ ¹æ½ÄÀº ´ÙÃàÈùÁö À̷¸ðµ¨À» »ç¿ëÇÔÀ¸·Î½á ºñź¼º ½Ã°£ÀÌ·ÂÇØ¼®¿¡ ¹Ý¿µÇÒ ¼ö ÀÖ½À´Ï´Ù. Ãà·Â ¹× 2Ãà ÈÚ ¸ð¸àÆ® »çÀÌÀÇ »óÈ£ÀÛ¿ëÀ» ¼Ò¼ºÀÌ·ÐÀ» ÀÀ¿ëÇÏ¿© ±¸ÇöÇÕ´Ï´Ù. °¢°¢ÀÇ ½Ã°£ÁõºÐ¸¶´Ù 3°³ ¼ººÐÀÇ º¯µ¿À» ÅëÇÕÀûÀ¸·Î °í·ÁÇÑ »óÅÂÆÇÁ¤À» ¼öÇàÇϸç, MIDAS/Civil¿¡¼´Â À̵¿°æÈÇü (kinematic hardening type)ÀÌ Áö¿øµË´Ï´Ù.

Lumped, Distributed TypeÀÏ °æ¿ì Fy, Fz¼ººÐÀº Ãà·Â°ú ¸ð¸àÆ® »ó°üÀÛ¿ëÀ» °í·ÁÇÏÁö ¸øÇÑ´Ù.
|
|
Material
|
ºñź¼º ÈùÁö°¡ Àû¿ëµÉ ¿ä¼ÒÀÇ Àç·á¸¦ ¼±ÅÃÇÕ´Ï´Ù. ¼±ÅÃµÈ Àç·á¿¡ µû¶ó¼ °¢ ¿ä¼ÒÀÇ Ç׺¹ÀÀ·ÂÀ» Á¤ÀÇÇÏ´Â ¹æ½ÄÀÌ ´Ù¸£°Ô Æò°¡µË´Ï´Ù.
Type : 5°¡Áö Àç·áŸÀÔÀ» Á¦°øÇÕ´Ï´Ù.
Steel : 1Â÷ Ç׺¹Àº ´Ü¸éÀÇ ÃÖ´ë ÈÚÀÀ·ÂÀÌ Ç׺¹ÀÀ·Â¿¡ µµ´ÞÇÑ °æ¿ì·Î Á¤ÀÇÇÕ´Ï´Ù. 2Â÷ Ç׺¹Àº Àü´Ü¸é¿¡¼ÀÇ ÈÚÀÀ·ÂÀÌ Ç׺¹ÀÀ·Â¿¡ µµ´ÞÇÑ °æ¿ì¿¡ ÇØ´çÇÕ´Ï´Ù.
RC : 1Â÷ Ç׺¹Àº ´Ü¸éÀÇ ÃÖ´ë ÈÚÀÀ·ÂÀÌ ÄÜÅ©¸®Æ®ÀÇ ±Õ¿ÀÀ·Â¿¡ µµ´ÞÇÑ °æ¿ìÀ̸ç 2Â÷ Ç׺¹Àº ÄÜÅ©¸®Æ®ÀÇ ÀÀ·Âºí·°ÀÌ ±ØÇѰµµ¿¡ µµ´ÞÇϰųª ö±ÙÀÌ Ç׺¹ÇÏ´Â °æ¿ì¿¡ ÇØ´çÇÕ´Ï´Ù.
SRC(filled) : ÄÜÅ©¸®Æ® ÃæÀü°°ü ÇüÅÂ, ö°ñ´Ü¸éÀÇ °è»ê ±âÁØÀ» µû¸¨´Ï´Ù.
SRC(encased) : ÄÜÅ©¸®Æ® ÇǺ¹Çü,RC ´Ü¸éÀÇ °è»ê ±âÁØÀ» µû¸¨´Ï´Ù.
User Defined : »ç¿ëÀÚ Á¤ÀÇ¿¡ ÀÇÇÏ¿© ÁöÁ¤µÈ Àç·áÀÇ Æ¯¼ºÀ» ÀÌ¿ëÇÏ¿© °è»êÇÕ´Ï´Ù.
Code
Àç·áƯ¼º¿¡ µû¸¥ Ç׺¹ÀÀ·Â°ú ÄÜÅ©¸®Æ® ±Õ¿°µµ°è¼ö µî¿¡ ±ÔÁ¤ÇÏ´Â ¼³°è±âÁØÀ» ¼±ÅÃÇÏ´Â Ç׸ñÀÔ´Ï´Ù. ACI, AISC±âÁذú AIJ ±âÁØÀ» Á¦°øÇÕ´Ï´Ù
¼³°è±ÔÁØÀ» ¼±ÅÃÇÏ´Â Ç׸ñÀÔ´Ï´Ù. ÇöÀç´Â RC ¹× SRC(encased) ŸÀÔ¿¡ ´ëÇØ¼ ÄÜÅ©¸®Æ® ±Õ¿°µµ °è¼ö¸¦ ¼±ÅÃÇÏ´Â ±âÁØÀ¸·Î¸¸ »ç¿ëµË´Ï´Ù. ±Õ¿°µµ °è¼ö·Î¼ ACI ±ÔÁØÀº lb-in ´ÜÀ§¿¡¼ 7.5, AIJ ±ÔÁØÀº kgf-cm ´ÜÀ§¿¡¼ 1.8À» »ç¿ëÇÕ´Ï´Ù.
Name
ºñź¼ºÈùÁö¸¦ Àû¿ëÇÒ ¿ä¼ÒÀÇ Material NameÀ» ¼±ÅÃÇÕ´Ï´Ù.
|
|
Member
|
ºñź¼º ÈùÁö°¡ Àû¿ëµÉ ºÎÀç¿¡ ´ëÇÑ Á¤º¸¸¦ ÀÔ·ÂÇÕ´Ï´Ù.
Type : ºñź¼ºÈùÁö°¡ Àû¿ëµÉ ºÎÀçÀÇ Å¸ÀÔÀ¸·Î¼ Beam, Column, BraceÀÇ 3°¡Áö ŸÀÔÀ» Á¦°øÇÕ´Ï´Ù.
Element Position : ºñź¼º ÈùÁöƯ¼ºÀ» Àû¿ëÇÒ ºÎÀç»óÀÇ À§Ä¡¸¦ ¼±ÅÃÇÕ´Ï´Ù. RC Àç·áÀÇ º¸ ºÎÀç¿¡ ´ëÇØ¼¸¸ ¼±ÅÃÇÒ ¼ö ÀÖ½À´Ï´Ù. I, M, J´Â °¢°¢ ºÎÀçÀÇ I´Ü, Áß¾Ó, J´ÜÀ» ÀǹÌÇÕ´Ï´Ù. ¼±ÅÃµÈ À§Ä¡¿¡ ´ëÇØ¼ RC º¸ ºÎÀçÀÇ ¹è±ÙÁ¤º¸¸¦ ÀÌ¿ëÇÕ´Ï´Ù.
|
|
Section
|
ºñź¼º ÈùÁö°¡ Àû¿ëµÉ ºÎÀçÀÇ ´Ü¸é µ¥ÀÌÅÍ¿¡ °ü·ÃµÈ Á¤º¸¸¦ ÀÔ·ÂÇÕ´Ï´Ù.
Name : ºñź¼ºÈùÁö°¡ Àû¿ëµÉ ºÎÀçÀÇ ´Ü¸éÀ» ¼±ÅÃÇÕ´Ï´Ù.
|
|
Component Properties
|
´Ü¸é³»·ÂÀÇ °¢ ¼ººÐº°·Î ÀԷµǴ ºñź¼º ÈùÁöÀÇ ¼Ó¼ºÀÔ´Ï´Ù.
Component : ¼Ó¼ºÀ» ÀÔ·ÂÇÒ ´Ü¸é³»·Â ¼ººÐÀ» ¼±ÅÃÇÕ´Ï´Ù. Spring ŸÀÔ¿¡¼´Â ¸ðµç ¹æÇâ ¼ººÐÀÌ ÀÔ·Â °¡´ÉÇϸç, Truss TypeÀº Fx¼ººÐ¸¸ ÀÔ·Â °¡´ÉÇÕ´Ï´Ù. Lumped¿Í Distributed ŸÀÔ¿¡¼´Â Mx¸¦ Á¦¿ÜÇÑ ¸ðµç ¼ººÐÀÇ ÀÔ·ÂÀÌ °¡´ÉÇÕ´Ï´Ù.
Hinge Location : Lumped ÈùÁöÀÇ À§Ä¡¸¦ ¼±ÅÃÇÕ´Ï´Ù. Ãà·Â¼ººÐÀº ºÎÀç Áß¾Ó¿¡ °íÁ¤µÇ¸ç Àü´Ü ¹× ÈÚ¸ð¸àÆ® ¼ººÐ¿¡ ´ëÇØ¼´Â ¿ä¼ÒÀÇ I´Ü, J´Ü ¶Ç´Â ¾ç´ÜÀ» ¼±ÅÃÇÒ ¼ö ÀÖ½À´Ï´Ù.
Num. of Section : Distributed ÈùÁö¿¡ ´ëÇÏ¿© ÀûºÐÁ¡ÀÇ °³¼ö¸¦ ÀÔ·ÂÇÕ´Ï´Ù. 20°³±îÁö ÀÔ·ÂÀÌ °¡´ÉÇϸç ÀÔ·ÂµÈ ¼ö¿¡ µû¶ó °¢ ´Ü¸é¿¡¼ÀÇ Èû-º¯À§ ¶Ç´Â º¯ÇüÀÇ °ü°è°¡ °è»êµË´Ï´Ù.
º¸¿ä¼ÒÀÇ ºñź¼º °Åµ¿Àº ÁÖ·Î ºÎÀçÀÇ ¾ç´Ü¿¡ ÁýÁߵǴ °æ¿ì°¡ ¸¹½À´Ï´Ù. µû¶ó¼, midas Civil¿¡¼´Â ºÎÀç ´ÜºÎÀÇ ´Ü¸é¿¡¼ ÀûºÐÁ¡À» ÃëÇÏ´Â Gauss-Lobatto ¼öÄ¡ ÀûºÐ¹ýÀ» »ç¿ëÇÏ¿© ºÎÀçÀÇ ºñź¼º °Åµ¿À» º¸´Ù Á¤È®ÇÏ°Ô ¹Ý¿µÇÒ ¼ö ÀÖ½À´Ï´Ù. ÀûºÐÁ¡ÀÇ ¼ö¿¡ µû¶ó¼, ¾ç´ÜºÎ·Î °¥¼ö·Ï ÀûºÐÁ¡ÀÇ °£°ÝÀÌ Á¼¾ÆÁý´Ï´Ù.

Distributed Hinge ¸ðµ¨ÀÇ ÀûºÐÁ¡ À§Ä¡: 0.0Àº ¿ä¼ÒÀÇ i´Ü, 1.0Àº ¿ä¼ÒÀÇ j´ÜÀ» ÀǹÌÇÕ´Ï´Ù.
Hysteresis Model : ºñź¼º ÈùÁö¿¡ ´ëÇÑ À̷¸ðµ¨À» ¼±ÅÃÇÕ´Ï´Ù.
Properties : °¢ ¼ººÐº° ºñź¼º ÈùÁöÀÇ ¼Ó¼ºÀ» ÀÔ·ÂÇÕ´Ï´Ù.
Fiber Name : Distributed ÈùÁö¿¡¼ Fiber ÇüŸ¦ ¼±ÅÃÇÑ °æ¿ì¿¡ Fiber ¿ä¼ÒÀÇ À̸§À» ¼±ÅÃÇÕ´Ï´Ù.
Yield Surface Properties : Interation Type¿¡¼ P-M in Strength Calculation ¶Ç´Â P-M-M in Status DeterminationÀ» ¼±ÅÃÇÑ °æ¿ì¿¡ P-M »ó°ü°î¼± ¹× 3Â÷¿ø Ç׺¹¸é °ü·Ã µ¥ÀÌÅ͸¦ ÀÔ·ÂÇÕ´Ï´Ù.
|
|
Hysteresis Model
|
À̵¿°æÈ(kinematic hardening)Çü À̷¸𵨠
¿øÁ¡ÁöÇâÇü (Origin-oriented Type) ÀÌ·Â ¸ðµ¨ 
ÃÖ´ëÁ¡ÁöÇâÇü (Peak-oriented Type) ÀÌ·Â ¸ðµ¨ 
Ŭ·¯ÇÁÇü (Clough Type) ÀÌ·Â ¸ðµ¨ 
°¼ºÀú°¨3¼±Çü (Degrading Trilinear Type) 
¿À¸®Áö³¯ ´ÙÄÉ´Ù (Takeda) Çü À̷¸𵨠
¿À¸®Áö³¯ ´ÙÄÉ´Ù »ç¼±Çü(Takeda Tetra Linear Type) À̷¸𵨠
¼öÁ¤ ´ÙÄÉ´Ù Çü(Modified Takeda Type) À̷¸𵨠
¼öÁ¤ ´ÙÄÉ´Ù »ç¼±Çü(Modified Takeda Tetra Linear Type) À̷¸𵨠
º¸Åë À̼±Çü(Normal Bilinear Type) À̷¸𵨠
ź¼º À̼±Çü(Elastic Bilinear Type) À̷¸𵨠
ź¼º »ï¼±Çü(Elastic Trilinear Type) À̷¸𵨠
ź¼º »ç¼±Çü(Elastic Tetralinear Type) À̷¸𵨠
À̼±Çü ¸éÁø¸ðµ¨(LRB Isolator Bilinear Type) À̷¸𵨠
»ï¼±Çü ¸éÁø¸ðµ¨(LRB Isolator Trilinear Type) À̷¸𵨠
°í°¨¼è ¸éÁø¸ðµ¨(High Damping Rubber Isolator Type) ÀÌ·Â 
À̼±Çü ½½¸³ (Slip Bilinear Type) ÀÌ·Â 
»ï¼±Çü ½½¸³ (Slip Triilinear Type) ÀÌ·Â 
|

Directional Hinge Properties ´ëÈ»óÀÚ
|
Type
|
»À´ë°î¼±ÀÇ ºñ´ëμº ¿©ºÎ¸¦ ¼±ÅÃÇÕ´Ï´Ù. ºñ´ëμºÀº Yield Strength, Stiffness Reduction Ratio ¹× Hinge Status ¿¡ Àû¿ëµÉ ¼ö ÀÖ½À´Ï´Ù. ´Ü, Kinematic Hardening ModelÀº Ư¼º»ó Stiffness Reduction Ratio ¿¡ ´ëÇÑ ºñ´ëμºÀ» Çã¿ëÇÏÁö ¾Ê½À´Ï´Ù.
|
|
Yield Properties
|
Ç׺¹ Ư¼ºÀ» Á¤ÀÇÇÕ´Ï´Ù.
Input Method
User Input : »ç¿ëÀÚ°¡ Ç׺¹Æ¯¼ºÀ» Á÷Á¢ ÀÔ·ÂÇÕ´Ï´Ù.
Auto Caculation : Ç׺¹ Ư¼ºÀÌ ÀÚµ¿ °è»êµË´Ï´Ù.
Input Type
Ç׺¹ Ư¼º
Strength-Stiffness Reduction Ratio : °µµ¿Í °¼º Àú°¨À²À» ÀÔ·ÂÇÏ¿© Ç׺¹ Ư¼ºÀ» Á¤ÀÇÇÕ´Ï´Ù.
Strength-Yield Displacement : °µµ¿Í Ç׺¹ º¯À§¸¦ ÀÔ·ÂÇÏ¿© Ç׺¹Æ¯¼ºÀ» Á¤ÀÇÇÕ´Ï´Ù.
Yield Strength
Ç׺¹°µµ¸¦ ÀǹÌÇÕ´Ï´Ù. Ç׺¹Æ¯¼ºÀÇ ÀÚµ¿°è»ê ±â´ÉÀ» ÀÌ¿ëÇϰųª Àç·á ¹× ´Ü¸éÀÇ ¼ºÁú¿¡ ±âÃÊÇÏ¿© »ç¿ëÀÚ°¡ ÀÔ·ÂÇÕ´Ï´Ù. Ç׺¹°µµ´Â ÀÎÀåÃø(t), ¾ÐÃàÃø(c) ±¸ºÐ¾øÀÌ ¾ç(+)ÀÇ °ªÀ¸·Î ÀÔ·ÂÇϸç, ¾ÐÃàÃø(c)Àº (-)À¸·Î Ãë±ÞÇÕ´Ï´Ù.
P1 : 1Â÷ Ç׺¹°µµ¸¦ ÀǹÌÇÕ´Ï´Ù. Material TypeÀÌ Steel ¶Ç´Â SRC(filled)ÀÎ °æ¿ì¿¡ 1Â÷Ç׺¹Àº ´Ü¸éÀÇ ÃÖ´ë ÈÚÀÀ·ÂÀÌ Ç׺¹ÀÀ·Â¿¡ µµ´ÞÇÑ »óŸ¦ ÀǹÌÇÕ´Ï´Ù. Material TypeÀÌ RC ¶Ç´Â SRC(encased)ÀÎ °æ¿ì¿¡ 1Â÷Ç׺¹Àº ´Ü¸éÀÇ ÃÖ´ë ÈÚÀÀ·ÂÀÌ ÄÜÅ©¸®Æ® ±Õ¿ÀÀ·Â¿¡ µµ´ÞÇÑ »óŸ¦ ÀǹÌÇÕ´Ï´Ù.
P2 : 2Â÷ Ç׺¹°µµ¸¦ ÀǹÌÇÕ´Ï´Ù. Material TypeÀÌ Steel ¶Ç´Â SRC(filled)ÀÎ °æ¿ì¿¡ 2Â÷Ç׺¹Àº Àü´Ü¸é¿¡¼ÀÇ ÈÚÀÀ·ÂÀÌ Ç׺¹ÀÀ·Â¿¡ µµ´ÞÇÑ »óŸ¦ ÀǹÌÇÕ´Ï´Ù. Material TypeÀÌ RC ¶Ç´Â SRC(encased)ÀÎ °æ¿ì¿¡ 2Â÷ Ç׺¹Àº ÄÜÅ©¸®Æ® ´Ü¸éÀÇ ÀÀ·ÂÀÌ ±ØÇѰµµ¿¡ µµ´ÞÇϰųª ö±ÙÀÌ Ç׺¹°µµ¿¡ µµ´ÞÇÑ »óŸ¦ ÀǹÌÇÕ´Ï´Ù. ÈÚÀÇ °æ¿ì¿¡ ÄÜÅ©¸®Æ®ÀÇ ÀÀ·ÂÀº Á÷»ç°¢Çü ÀÀ·Âºí·ÏÀ» ±âÁØÀ¸·Î ÇÕ´Ï´Ù.
P3 : 3Â÷ Ç׺¹°µµ¸¦ ÀǹÌÇÕ´Ï´Ù.
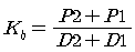
Stiffness Reduction Ratio
Input TypeÀ» Strength Stiffness Reduction Ratio·Î ¼±ÅÃÇÑ °æ¿ì, ±¸¹èÇü »À´ë°î¼±ÀÇ °¼º Àú°¨·üÀ» ÀÔ·ÂÇÕ´Ï´Ù.
¥á1 : 1Â÷Ç׺¹ ±¸¹èÀÇ °¼ºÀ» ÃʱⰼºÀ¸·Î ³ª´« ºñ
¥á2 : 2Â÷Ç׺¹ ±¸¹èÀÇ °¼ºÀ» ÃʱⰼºÀ¸·Î ³ª´« ºñ. »À´ë°î¼±ÀÌ Trilinear ȤÀº TetralinearÀÎ °æ¿ì¿¡ Á¤ÀÇÇÕ´Ï´Ù.
¥á3 : 3Â÷Ç׺¹ ±¸¹èÀÇ °¼ºÀ» ÃʱⰼºÀ¸·Î ³ª´« ºñ. »À´ë°î¼±ÀÌ TetralinearÀÎ °æ¿ì¿¡ Á¤ÀÇÇÕ´Ï´Ù.
Yield Displacement
Input TypeÀ» Strength Yield Displacement ·Î ¼±ÅÃÇÑ °æ¿ì, ±¸¹èÇü »À´ë°î¼±ÀÇ Ç׺¹ º¯À§¸¦ ÀÔ·ÂÇÕ´Ï´Ù.
D1 : 1Â÷ Ç׺¹ º¯À§¼ººÐ ȤÀº º¯Çü
D2 : 2Â÷ Ç׺¹ º¯À§¼ººÐ ȤÀº º¯Çü. »À´ë°î¼±ÀÌ Trilinear ȤÀº TetralinearÀÎ °æ¿ì¿¡ Á¤ÀÇÇÕ´Ï´Ù.
D3 : 3Â÷ Ç׺¹ º¯À§¼ººÐ ȤÀº º¯Çü. »À´ë°î¼±ÀÌ TetralinearÀÎ °æ¿ì¿¡ Á¤ÀÇÇÕ´Ï´Ù.
|
|
Deformation Indexes
|
ºñź¼ºÈùÁöÀÇ º¯Çü Á¤µµ¸¦ ³ªÅ¸³»´Â ÁöÇ¥¸¦ °è»êÇϱâ À§ÇØ ÇÊ¿äÇÑ µ¥ÀÌÅÍÀÔ´Ï´Ù.
Ductility Factor : ¿¬¼ºµµ¸¦ °è»êÇÏ´Â ±âÁØÀ» ¼±ÅÃÇÕ´Ï´Ù. ¿¬¼ºµµ´Â »ç¿ëÀÚÀÇ ¼±Åÿ¡ µû¶ó ÇöÀç º¯ÇüÀ» 1Â÷Ç׺¹º¯Çü ¶Ç´Â 2Â÷Ç׺¹º¯ÇüÀ¸·Î ³ª´« °ªÀ¸·Î °è»êµË´Ï´Ù.
Hinge Status : ÈùÁö »óŸ¦ 5°³ÀÇ ·¹º§·Î ±¸ºÐÇÏ´Â ±âÁØ ¿¬¼ºµµ¸¦ ÀÔ·ÂÇÕ´Ï´Ù. ºñ´ëĪ ÈùÁöÀÇ °æ¿ì¿¡ °¢ ŸÀÓ½ºÅÜ¿¡¼ÀÇ ÈùÁö »óÅ ·¹º§Àº Á¤(+), ºÎ(-) ¹æÇâ ·¹º§ °¡¿îµ¥ Å« ÂÊÀ¸·Î °áÁ¤ÇÕ´Ï´Ù. ·¹º§-1(0.5)À̸é ź¼º»óŸ¦ ÀǹÌÇϸç, ·¹º§-2(1)Àº Ç׺¹»óÅ ±×¸®°í ·¹º§-3(2), ·¹º§-4(4), ·¹º§-5(8)Àº °¢ ºÎÀçÀÇ ¿¬¼ºµµ Á¤µµ¸¦ ³ªÅ¸³»´Â Ä¡¼öÀÔ´Ï´Ù. ÇØ¼®°á°ú¿¡¼´Â °¢°¢ ÆÄ¶õ»ö, ÃÊ·Ï»ö, ¿¬µÎ»ö, ÁÖȲ»ö, »¡°£»öÀ¸·Î Ç¥ÇöµË´Ï´Ù.
|
|
Initial Stiffness
|
ºñź¼º ÇØ¼®¿¡¼ »ç¿ëµÇ´Â ÃʱⰼºÀ» ¼±ÅÃÇϰųª »ç¿ëÀÚ°¡ Á÷Á¢ ÀÔ·ÂÇÕ´Ï´Ù.
6EI/L , 3EI/L, 2EI/L : ÈÚ¸ð¸àÆ® ¼ººÐ¿¡ ´ëÇÑ ÁýÁßÇü(Lumped) ºñź¼ºÈùÁö¿¡ ÇÑÇØ¼, ÈÚ¸ð¸àÆ®ÀÇ ÀçÃà¹æÇâ ºÐÆ÷¿¡ ´ëÇÑ °¡Á¤¿¡ ±âÃÊÇÏ¿© Ãʱ⠰¼ºÀ» ¼±ÅÃÇϸç, Distributed Type, Spring TypeÀÎ °æ¿ì´Â ¼±ÅÃÇÒ ¼ö ¾ø½À´Ï´Ù.
6EI/L : Á÷¼±ºÐÆ÷·Î °¡Á¤µÈ ÈÚ¸ð¸àÆ®ÀÇ ¾ç´Ü °ªÀÌ Å©±â°¡ °°°í ¹æÇâÀÌ ¹Ý´ëÀÎ °æ¿ì
3EI/L : ÇÑÂÊ ´ÜºÎ¿¡¼ 0ÀÎ °æ¿ì
2EI/L : ¾ç´Ü °ªÀÇ Å©±â ¹× ºÎÈ£°¡ ¸ðµÎ °°Àº °æ¿ì

User : Input TypeÀÌ Strength Stiffness Reduction RatioÀÎ °æ¿ì, »ç¿ëÀÚ°¡ ÃʱⰼºÀ» Á÷Á¢ ÀÔ·ÂÇÕ´Ï´Ù.
Elastic Stiffness : ºÎÀçÀÇ Åº¼º °¼ºÀ» ºñź¼ºÇؼ®½ÃÀÇ ÃʱⰼºÀ¸·Î »ç¿ëÇÕ´Ï´Ù.
Skeleton Curve : Input TypeÀ» Strength Yield Displacement ·Î ¼±ÅÃÇÑ °æ¿ì, »ç¿ëÀÚ°¡ ÀÔ·ÂÇÑ Ç׺¹ °µµ¿Í Ç׺¹ º¯À§ÀÇ ºñ¸¦ ÃʱⰼºÀ¸·Î »ç¿ëÇÕ´Ï´Ù.
|
|
Unloading Stiffness Parameter
|
Exponent in Unloading Stiffness Calculation : »À´ë°î¼±ÀÇ À̷¸𵨠Áß¿¡¼ CloughÇü°ú TakedaÇü ¸ðµ¨¿¡¼ »ç¿ëÇÏ´Â ¿ÜÃø ·çÇÁÀÇ Á¦Çϰ¼ºÀ» °áÁ¤ÇÏ´Â ¿É¼ÇÀÔ´Ï´Ù. Ç׺¹ ÀÌÈÄ¿¡ º¯ÇüÀÌ ÁøÇàµÊ¿¡ µû¶ó¼ ¹ß»ýÇÏ´Â °¼ºÀúÇÏÀÇ È¿°ú¸¦ ¹Ý¿µÇϱâ À§ÇÑ °ÍÀÔ´Ï´Ù. Á¦Çϰ¼ºÀº Á¦ÇÏ(unloading)°¡ ½ÃÀ۵Ǵ ¿µ¿ª¿¡¼ÀÇ Ç׺¹º¯À§¿Í Ãִ뺯À§ ±×¸®°í ¿©±â¼ ÀԷµǴ ¿ÜÃø ·çÇÁÀÇ Á¦Çϰ¼º °áÁ¤¿ë Áö¼ö¿¡ ÀÇÇÏ¿© ź¼º°¼ºÀ» Àú°¨½ÃÅ´À¸·Î½á °áÁ¤µË´Ï´Ù.
Inner Loap Unloading Stiffness Reduction Factor : Á¦ÇϰúÁ¤¿¡¼ ÇÏÁߺÎÈ£°¡ ¹Ù²ï µÚ ÀçÀçÇϵǴ µµÁß¿¡ »À´ë°î¼±»óÀÇ ¸ñÇ¥Á¡¿¡ µµ´ÞÇÏÁö ¸øÇÑä·Î Á¦Çϰ¡ ¹ß»ýÇÏ¿© Çü¼ºµÇ´Â ³»Ãø ·çÇÁÀÇ Á¦Çϰ¼ºÀ» °áÁ¤Çϴµ¥ »ç¿ëµÇ´Â "³»Ãø ·çÇÁÀÇ Á¦Çϰ¼º Àú°¨·ü"ÀÔ´Ï´Ù. ³»Ãø ·çÇÁÀÇ Á¦Çϰ¼ºÀº ¿ÜÃø ·çÇÁÀÇ Á¦Çϰ¼º°ú ³»Ãø ·çÇÁ Á¦Çϰ¼º Àú°¨·üÀ» °öÇÔÀ¸·Î½á °è»êÇÕ´Ï´Ù.
|
_Yield_Surace_Properties.jpg)
Yield Surface Properties ´ëÈ»óÀÚ
|
P-M Interaction Curves
|
3Â÷¿ø Ç׺¹¸éÀÇ »êÁ¤¿¡ ÇÊ¿äÇÑ P-M »ó°ü°î¼±ÀÇ µ¥ÀÌÅ͸¦ ÀÔ·ÂÇÕ´Ï´Ù.
Type of Input : ÀÌÇÏÀÇ º¯¼öµé¿¡ ´ëÇÑ ÀÔ·ÂÇü½ÄÀ¸·Î¼ »ç¿ëÀÚ ÀÔ·Â ¹× Àç·á¿Í ´Ü¸é Çü»ó¿¡ ±âÃÊÇÑ ÀÚµ¿°è»êÀÇ µÎ °¡Áö ¹æ½ÄÀ» Áö¿øÇÕ´Ï´Ù. ÀϺΠÇ׸ñ¸¸À» ÀÚµ¿°è»êÇÏ°í ³ª¸ÓÁö´Â »ç¿ëÀÚ ÀÔ·ÂÀ¸·Î ÇϰíÀÚ ÇÏ´Â °æ¿ì¿¡ ¸ÕÀú Auto-calculationÀ» ¼öÇàÇϰí User InputÀ¸·Î ÀüȯÇÑ µÚ ÇÊ¿äÇÑ Ç׸ñ¸¸ Á÷Á¢ ¼öÁ¤ÇÒ ¼ö ÀÖ½À´Ï´Ù.
Crack Strengths : ±Õ¿°µµ
´ÙÀ½ ¼¼ Ç׸ñÀº Material TypeÀÌ RC ¶Ç´Â SRC(encased)ÀÎ °æ¿ì¿¡¸¸ ¿ä±¸µË´Ï´Ù. ¼öÄ¡´Â ¸ðµÎ ¾çÀÇ °ªÀ¸·Î ÀÔ·ÂÇÕ´Ï´Ù.
NC0(t) : ¼ø¼ö ÀÎÀå·Â¿¡ ´ëÇÑ ±Õ¿°µµ
MC0y : Ãà·ÂÀÌ ÀÛ¿ëÇÏÁö ¾Ê´Â ´Ü¸éÀÇ yÃà-ÈÚ¿¡ ´ëÇÑ ÈÚ ±Õ¿°µµ
MC0z : Ãà·ÂÀÌ ÀÛ¿ëÇÏÁö ¾Ê´Â ´Ü¸éÀÇ zÃà-ÈÚ¿¡ ´ëÇÑ ÈÚ ±Õ¿°µµ
´ÙÀ½ 12°³ Ç׸ñÀº Material Type¿¡ °ü°è¾øÀÌ ¿ä±¸µË´Ï´Ù¸¸ RC ¹× SRC(encased)¿¡ ´ëÇØ¼´Â NC0(t), MC0y ¹× MC0z¸¦ ±âÃÊ·Î ±Ù»çÈµÈ NC(t), NC(c), NCBy, NCBz, MCy,max, MCz,max¸¦ ÀÔ·Â ¶Ç´Â ÀÚµ¿°è»êÇÏ°Ô µË´Ï´Ù. ¼öÄ¡´Â ¸ðµÎ ¾çÀÇ °ªÀ¸·Î ÀÔ·ÂÇÕ´Ï´Ù.
Strengths for the 1st P-M Interaction Curves : 1Â÷ Ç׺¹ »ó°ü°î¼±¿¡¼ÀÇ °µµ
NC(t) : ¼ø¼ö ÀÎÀå·Â¿¡ ´ëÇÑ 1Â÷Ç׺¹°µµ.
NC(c) : ¼ø¼ö ¾ÐÃà·Â¿¡ ´ëÇÑ 1Â÷Ç׺¹°µµ.
NCBy : ´Ü¸éÀÇ yÃà-ÈÚ¿¡ ´ëÇÑ 1Â÷Ç׺¹ »ó°ü°î¼±¿¡¼ ±ÕÇüÆÄ±« ¹ß»ý½ÃÀÇ Ãà·Â
NCBz : ´Ü¸éÀÇ zÃà-ÈÚ¿¡ ´ëÇÑ 1Â÷Ç׺¹ »ó°ü°î¼±¿¡¼ ±ÕÇüÆÄ±« ¹ß»ý½ÃÀÇ Ãà·Â
MCy,max : ´Ü¸éÀÇ yÃà-ÈÚ¿¡ ´ëÇÑ 1Â÷Ç׺¹ »ó°ü°î¼±¿¡¼ ÃÖ´ë ÈÚ Ç׺¹°µµ
MCz,max : ´Ü¸éÀÇ zÃà-ÈÚ¿¡ ´ëÇÑ 1Â÷Ç׺¹ »ó°ü°î¼±¿¡¼ ÃÖ´ë ÈÚ Ç׺¹°µµ
Strengths for the 1nd P-M Interaction Curves : 2Â÷ Ç׺¹ »ó°ü°î¼±¿¡¼ÀÇ °µµ
NY(t) : ¼ø¼ö ÀÎÀå·Â¿¡ ´ëÇÑ 2Â÷Ç׺¹°µµ.
NY(c) : ¼ø¼ö ¾ÐÃà·Â¿¡ ´ëÇÑ 2Â÷Ç׺¹°µµ.
NYBy : ´Ü¸éÀÇ yÃà-ÈÚ¿¡ ´ëÇÑ 2Â÷Ç׺¹ »ó°ü°î¼±¿¡¼ ±ÕÇüÆÄ±« ¹ß»ý½ÃÀÇ Ãà·Â
NYBz : ´Ü¸éÀÇ zÃà-ÈÚ¿¡ ´ëÇÑ 2Â÷Ç׺¹ »ó°ü°î¼±¿¡¼ ±ÕÇüÆÄ±« ¹ß»ý½ÃÀÇ Ãà·Â
MYy,max : ´Ü¸éÀÇ yÃà-ÈÚ¿¡ ´ëÇÑ 2Â÷Ç׺¹ »ó°ü°î¼±¿¡¼ ÃÖ´ë ÈÚ Ç׺¹°µµ
MYz,max : ´Ü¸éÀÇ zÃà-ÈÚ¿¡ ´ëÇÑ 2Â÷Ç׺¹ »ó°ü°î¼±¿¡¼ ÃÖ´ë ÈÚ Ç׺¹°µµ
Shape of the 1st and 2nd P-M Interaction Curves
P-M »ó°ü°î¼±ÀÇ Çü»óÀ» ÀÔ·ÂÇÕ´Ï´Ù. »ó°ü°î¼±ÀÇ Çü»óÀº °î¼±»óÀÇ 11°³ Á¡ÀÇ Á¤±ÔÈµÈ ÁÂÇ¥·Î Ç¥ÇöµË´Ï´Ù. ÀÌµé °¡¿îµ¥ ÀÎÀå, ¾ÐÃà ¹× ÈÚ ¹æÇâÀÇ Ãֿܰû ÁöÁ¡ ÁÂÇ¥´Â 0¶Ç´Â 1·Î °íÁ¤µÇ±â ¶§¹®¿¡ ³ª¸ÓÁö 8°³¼ÒÀÇ Á¡¸¸À» ÀÔ·ÂÇÕ´Ï´Ù. Material TypeÀÌ RC ¶Ç´Â SRC(encased)ÀÎ °æ¿ì¿¡´Â 1Â÷Ç׺¹¿¡ °üÇÑ »ó°ü°î¼±ÀÌ Á÷¼± Çü»óÀ̱⠶§¹®¿¡ ÀÔ·ÂÀÌ ºÒÇÊ¿äÇÕ´Ï´Ù. Á¤±ÔÈµÈ ÁÂÇ¥ÀÇ Ãà·Â ¼ººÐÀ» °è»ê ¶Ç´Â µµ½ÃÇÔ¿¡ ÀÖ¾î¼ ¾ÐÃàÀÎ °æ¿ì¿¡´Â (+), ÀÎÀåÀÎ °æ¿ì¿¡´Â (-)·Î ¾à¼ÓÇÕ´Ï´Ù.
|
|
Approximation of Yield Surface Shape
|
P-M »ó°ü°î¼±À» ±âÃÊ·Î 3Â÷¿ø Ç׺¹¸éÀÇ ÆÄ¶ó¹ÌÅ͸¦ »ç¿ëÀÚ ÀÔ·Â ¶Ç´Â ÀÚµ¿°è»êÇÕ´Ï´Ù. ÀϺΠÇ׸ñ¸¸À» ÀÚµ¿°è»êÇÏ°í ³ª¸ÓÁö´Â »ç¿ëÀÚ ÀÔ·ÂÀ¸·Î ÇϰíÀÚ ÇÏ´Â °æ¿ì¿¡ ¸ÕÀú Auto-calculationÀ» ¼öÇàÇϰí User InputÀ¸·Î ÀüȯÇÑ µÚ ÇÊ¿äÇÑ Ç׸ñ¸¸ Á÷Á¢ ¼öÁ¤ÇÒ ¼ö ÀÖ½À´Ï´Ù. ´Ü AlphaÀÇ °æ¿ì¿¡´Â »ç¿ëÀÚ ÀԷ¸¸ °¡´ÉÇÕ´Ï´Ù. °¢°¢ÀÇ ÆÄ¶ó¹ÌÅÍ´Â ´ëÈ»óÀÚ¿¡ Ç¥½ÃµÈ Ç׺¹°î¸éÀÇ ½Ä¿¡¼ »ç¿ëµÇ´Â °ªÀÔ´Ï´Ù.
Beta y, Beta z, Gamma : P-My ¶Ç´Â P-Mz »ó°ü°ü°èÀÇ Â÷¼ö·Î¼ 1Â÷ ¹× 2Â÷ Ç׺¹¿¡ ´ëÇØ ´Ù¸¥ °ªÀ» ÀÔ·Â °¡´ÉÇÕ´Ï´Ù. ¶ÇÇÑ Beta y, Beta z´Â ±ÕÇüÆÄ±« ¹ß»ý½Ã Ãà·ÂÀ» ±âÁØÀ¸·Î ±×º¸´Ù Å« Ãà·Â°ú ÀÛÀº Ãà·ÂÀÇ ¿µ¿ª¿¡ ´ëÇØ ¼·Î ´Ù¸¥ 2°³ °ªÀ» ÀÔ·ÂÇÒ ¼ö ÀÖ½À´Ï´Ù.
Alpha : 1Â÷ ¹× 2Â÷ Ç׺¹¿¡ ´ëÇÑ My-Mz »ó°ü°ü°èÀÇ Â÷¼ö
|
|
Interaction Curves and Approximated Yield Surfaces
|
»ç¿ëÀÚ ÀÔ·Â ¶Ç´Â Àç·á ¹× ´Ü¸é ¼ºÁú¿¡ ÀÇÇØ °è»êµÈ P-M »ó°ü°î¼±°ú À̸¦ ±âÃÊ·Î ±¸¼ºµÈ 3Â÷¿ø Ç׺¹¸éÀÇ Çü»óÀ» µµ½ÃÇÕ´Ï´Ù. Ç׺¹¸éÀº ±âÁØ Æò¸é»ó¿¡ Åõ¿µµÈ ¿Ü°û ¼±À» µµ½ÃÇÕ´Ï´Ù. À̸¦ ÅëÇØ P-M »ó°ü°î¼±°ú 3Â÷¿ø Ç׺¹¸éÀÌ ¾ó¸¶³ª Àß ÀÏÄ¡ÇÏ´ÂÁö °ËÅäÇÒ ¼ö ÀÖ½À´Ï´Ù.
Plot : µµ½ÃÇÒ »ó°ü°î¼± ¶Ç´Â Ç׺¹¸éÀ» ¼±ÅÃÇÕ´Ï´Ù. P-My, P-Mz, My-MzÀÇ ¼¼°¡Áö¸¦ ¼±ÅÃÇÒ ¼ö ÀÖ½À´Ï´Ù.
|
|