|
Elements of Abutment
Direction : Elastic LinkÀÇ ¹èÄ¡¹æÇâÀ» ¼±ÅÃÇÕ´Ï´Ù.
Element List : ±³´ë ¹è¸éÀÇ Áö¹Ý½ºÇÁ¸µÀ» ÀÔ·ÂÇÒ ¿ä¼Ò¼±ÅÃ
-º¸¿ä¼Ò¿¡ ½ºÇÁ¸µÀ» ¼³Ä¡ÇÒ °æ¿ì¿¡ »ç¿ëÇÒ ¼ö ÀÖ´Â ´Ü¸éÀº Solid Ractangle( ), Box( ) µÎ°¡Áö·Î Á¦Çѵ˴ϴÙ.
-Beta AngleÀÌ ÀÔ·ÂµÈ º¸¿ä¼Ò ±³´ëÀÇ Á¾¹æÇâ ±æÀÌ´Â Åõ¿µ±æÀÌ( )·Î °è»êµÇ¸ç, ÀÌ ±æÀÌ´Â FootingÀÇ Á¾¹æÇâ ±æÀÌ¿¡µµ Àû¿ëµË´Ï´Ù.
Select Nodes for Footing
-±âÃʺÎÀÇ Áö¹Ý½ºÇÁ¸µÀ» ¿¬°áÇÒ ÀýÁ¡À» ¼±ÅÃÇÕ´Ï´Ù.
-±âÃʺο¡ ÇØ´çÇÏ´Â ÀýÁ¡Àº ÀÏÁ÷¼±»ó¿¡ ÀÖ¾î¾ß ÇÕ´Ï´Ù.
-ÀÏÁ÷¼±»ó¿¡ ÀÖ´Â ÀýÁ¡ÀÌ¶óµµ ¿ä¼Ò°¡ ¿¬¼ÓµÇÁö ¾ÊÀ¸¸é, ¿¬¼ÓµÈ(2°³ ÀÌ»ó) ÀýÁ¡¸¸ ¼±ÅÃÇÏ¿© Áö¹Ý½ºÇÁ¸µÀ» ÀÔ·ÂÇÕ´Ï´Ù.

-Solid¿ä¼Ò·Î ¸ðµ¨¸µÇÑ °æ¿ì¿¡´Â ±³´ë/±âÃÊ ÆøÀÇ Á߾Ӻο¡ ÀýÁ¡ÀÌ »ý¼ºµÇµµ·Ï ÇØ¾ß Çϸç, ¾Æ·¡ ±×¸²¿¡¼ ÆÄ¶õ»öÀ¸·Î Ç¥½ÃÇÑ ºÎºÐÀÇ ÀýÁ¡À» ¼±ÅÃÇÕ´Ï´Ù.

Geometry Data
Abutment Height (H) : ±³´ë ³ôÀÌ
Abutment Width (B) : ±³´ë ³Êºñ
Deck Length (L) : ¹Ù´ÚÆÇÀÇ Á¾¹æÇâ ±æÀÌ
Soil Parameter
Void Ratio (e) : ±³´ë ¹è¸é ÈëÀÇ °£±Øºñ
Specific Gravity (Gs) : ±³´ë ¹è¸é ÈëÀÇ ºñÁß, ÀϹÝÀûÀ¸·Î 2.65¸¦ »ç¿ëÇÕ´Ï´Ù.
Cycle factor (fcyc) : [Cosgrove et al (2001)]°ú cycle¿¡ µû¸¥ °ø±Ø·üÀÇ °¨¼Ò·Î 2ÀÇ °ªÀ¸·Î Á¤ÀÇÇÕ´Ï´Ù. ¿ÂµµÇÏÁß¿¡ ÀÇÇØ »óºÎ±¸Á¶°¡ ÆØÃ¢/¼öÃàµÇ°í, ÀÏÃ¼ÈµÈ ±³´ëµµ ÇÔ²² º¯ÇüÇÏ°Ô µË´Ï´Ù. ÀÌ CycleÀÌ ¹«ÇÑÈ÷ ¹Ýº¹µÉ ¶§ÀÇ »óŸ¦ °æÇè½ÄÀ¸·Î Ç¥ÇöÇÒ ¶§, »ç¿ëµÇ´Â »ó¼öÀÔ´Ï´Ù.
Thermal Extension
Differential Deck Temp. : ¹Ù´ÚÆÇÀÇ ¿ÂµµÁõ°¡·®
¥á : ¹Ù´ÚÆÇÀÇ ¿ÆØÃ¢°è¼ö
Strip Footing Spring Data
Found. Width (W) : ±âÃÊÆø
Found. Bearing Pressure (p') : ±âÃÊ ÁöÁö·Â
Rotation Direction : ±âÃÊÀÇ È¸Àü¹æÇâ. ±âÃÊÀÇ ±æÀ̹æÇâÀÌ y¶ó¸é Ry¸¦ ¼±ÅÃÇÕ´Ï´Ù.
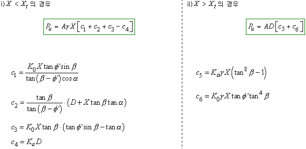
±³´ë¹è¸é ¾ÐÃàÀü´ã½ºÇÁ¸µÀÇ °¼º°è»ê

´ÜÀ§¸éÀû´ç °¼º
Broms(1971)¿¡ µû¸£¸é Integral BridgeÀÇ ±âÃÊ ¹è¸é Áö¹ÝÀÇ È¾¹æÇâ º¯À§¿Í Ⱦ¹æÇâ ÀÀ·ÂÀº À§ÀÇ ±×¸²°ú °°Àº °ü°è¸¦ °®°í ÀÖÀ¸¸ç, ´ÜÀ§¸éÀû´ç °¼ºÀº ´ÙÀ½°ú °°ÀÌ °è»êÇÕ´Ï´Ù.
.gif)
SpringÀÇ °¼º
ÃÖÁ¾ÀûÀÎ Spring °¼ºÀº ÀÌ ´ÜÀ§¸éÀû´ç °¼º¿¡ ¸éÀûÀ» °öÇÏ¿© °è»êµË´Ï´Ù.
.gif)
±³´ë±âÃÊ ¼±Çü ź¼º½ºÇÁ¸µÀÇ °¼º°è»ê
´ÜÀ§¸éÀû´ç °¼º
.gif)
SpringÀÇ °¼º
ÃÖÁ¾ÀûÀÎ Spring °¼ºÀº ÀÌ ´ÜÀ§¸éÀû´ç °¼º¿¡ ¸éÀûÀ» °öÇÏ¿© °è»êµË´Ï´Ù.
.gif)
|