Prestress Beam Loads

 

¢Æ ±â´É

Prestress Beam Loads ±â´ÉÀº º¸¿ä¼Ò¿¡ ÇÁ¸®½ºÆ®·¹½ºÇÏÁßÀ» ÀÔ·ÂÇϰųª ÀÌ¹Ì ÀÔ·ÂµÈ ÇÏÁßÀ» ¼öÁ¤ ¶Ç´Â »èÁ¦ÇÕ´Ï´Ù.

º¸¿ä¼Ò¿¡ ÇÁ¸®½ºÆ®·¹½ºÇÏÁßÀ» ÀÔ·ÂÇÏ´Â °³³äÀº ¾Æ·¡ ±×¸²°ú °°½À´Ï´Ù.

midas Civil ¿¡¼­ Cable Drape´Â Æí½ÉÁ¡ 3°³¼Ò¸¦ Áö³ª´Â 2Â÷ °î¼±»ó¿¡ À§Ä¡Çϸç, Æí½ÉÁ¡Àº º¸¿ä¼ÒÀÇ ¿ä¼Ò ÁÂÇ¥°è x-z Æò¸é»ó¿¡ À§Ä¡ÇÏ´Â °ÍÀ¸·Î °¡Á¤ÇÕ´Ï´Ù. ¶ÇÇÑ CableÀÇ ÀÎÀåÀº DrapeÀÇ Àüü±æÀÌ¿¡ °ÉÃÄ ÀÏÁ¤ÇÑ °ÍÀ¸·Î °¡Á¤ÇÕ´Ï´Ù.

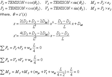
±×¸®°í Á¤È®ÇÑ °è»ê »êÁ¤À» À§ÇØ º¸¿ä¼Ò¸¦ 4µîºÐÇÑ ´ÙÀ½ °¢ ¼¼ºÎ¿ä¼Ò¿¡¼­ ´ÙÀ½°ú °°Àº ¼ø¼­·Î ÇÁ¸®½ºÆ®·¹½º¿¡ ÀÇÇØ º¸¿ä¼Ò¿¡ °¡ÇØÁö´Â µî°¡ÇÏÁßÀ» »êÁ¤ÇÕ´Ï´Ù.

1. Cable DrapeÀÇ °î¼±½ÄÀ» »êÁ¤ÇÕ´Ï´Ù.

2. ºÎÀçÀÇ 4µîºÐ¼±°ú Cable DrapeÀÇ ±³Â÷Á¡¿¡¼­ ÁÂÇ¥¿Í 2Â÷ °î¼±ÀÇ ±â¿ï±â¸¦ »êÁ¤ÇÕ´Ï´Ù.

3. º¸¿ä¼Ò¿¡¼­ ¹Ý·Â ¹× ¸ð¸àÆ®¿Í ¼¼ºÐµÈ ¿ä¼Ò¿¡¼­ÀÇ ºÐÆ÷·ÂÀº ¾Æ·¡ÀÇ ½Ä¿¡ ÀÇÇØ¼­ »êÁ¤ÇÕ´Ï´Ù.

 

(a) ÇÁ¸®½ºÆ®·¹½ºÇÏÁßÀÌ °¡ÇØÁø º¸ºÎÀç

 

(b) ÇÁ¸®½ºÆ®·¹½ºÇÏÁß¿¡ ÀÇÇØ º¸¿ä¼Ò¿¡ °¡ÇØÁö´Â µî°¡ÇÏÁß 

 

¢Æ È£Ãâ

¸ÞÀÎ ¸Þ´º¿¡¼­ [Load] ÅÇ > [Temp./Prestress(Type)] ±×·ì > [Prestress Beam Loads]

 

¢Æ ÀÔ·Â

Prestress Beam Loads ´ëÈ­»óÀÚ

Load Case Name

´ÜÀ§ÇÏÁßÁ¶°Ç ¼±Åöõ¿¡¼­ ¿øÇÏ´Â ÇÏÁßÁ¶°ÇÀ» ÁöÁ¤ÇÕ´Ï´Ù. Ãß°¡·Î ÇÏÁßÁ¶°ÇÀ» ÀÔ·ÂÇϰųª ¼öÁ¤, »èÁ¦°¡ ÇÊ¿äÇÑ °æ¿ì ¿ìÃøÀÇ ¹öưÀ» ÀÌ¿ëÇÕ´Ï´Ù.

 

Load Group Name

ÇÁ¸®½ºÆ®·¹½º ÇÏÁßÀ» Àû¿ëÇÒ ÇÏÁß ±×·ìÀ» ÁöÁ¤ÇÕ´Ï´Ù. »õ·Î¿î ÇÏÁß ±×·ìÀ» Ãß°¡·Î ÀÔ·ÂÇϰųª ¼öÁ¤, »èÁ¦°¡ ÇÊ¿äÇÑ °æ¿ì¿¡´Â ¿ìÃøÀÇ ¹öưÀ» ÀÌ¿ëÇÕ´Ï´Ù.

 

Option

Add : ÀÓÀÇÀÇ º¸¿ä¼Ò¿¡ ÇÁ¸®½ºÆ®·¹½ºÇÏÁßÀ» ½Å±Ô ¶Ç´Â Ãß°¡ ÀÔ·ÂÇÒ °æ¿ì ÁöÁ¤

Replace : ÀÓÀÇÀÇ º¸¿ä¼Ò¿¡ ÀÌ¹Ì ÀÔ·ÂµÈ ÇÁ¸®½ºÆ®·¹½ºÇÏÁßÀ» ´ëü ÀÔ·ÂÇÒ °æ¿ì ÁöÁ¤

Delete : ÀÓÀÇÀÇ º¸¿ä¼Ò¿¡ ÀÌ¹Ì ÀÔ·ÂµÈ ÇÁ¸®½ºÆ®·¹½ºÇÏÁßÀ» »èÁ¦ÇÒ °æ¿ì ÁöÁ¤

 

Loads

Load Type ¼±Åöõ ÇϺÎÀÇ ¾È³»±×¸²À» Âü°íÇÏ¿© Drape Çü»ó°ú Pretension °ªÀ» ÀÔ·ÂÇÕ´Ï´Ù.

Tension : Pretension Force ( ¾ç¼ö¸¸ Çã¿ë)

Di : º¸¿ä¼ÒÀÇ ½ÃÀÛÁ¡(i ÂÊ ¶Ç´Â N1´ÜºÎ )¿¡¼­ ¿ä¼ÒÁÂÇ¥°è ¡¾ z¹æÇâÀ¸·ÎÀÇ Cable Drape

Dm : º¸¿ä¼ÒÀÇ Áß¾ÓÁ¡¿¡¼­ ¿ä¼ÒÁÂÇ¥°è ¡¾ z¹æÇâÀ¸·ÎÀÇ Cable Drape

Dj : º¸¿ä¼ÒÀÇ ³¡Á¡(j ÂÊ ¶Ç´Â N2´ÜºÎ)¿¡¼­ ¿ä¼ÒÁÂÇ¥°è ¡¾ z¹æÇâÀ¸·ÎÀÇ Cable Drape

 

Selection Type

ÇÁ¸®½ºÆ®·¹½º ÇÏÁßÀ» ÀçÇÏÇÒ ¿ä¼ÒÀÇ ¼±Åà ¹æ¹ýÀ» ÁöÁ¤ÇÕ´Ï´Ù.

Selection : ¼±ÅÃµÈ ¿©·¯ °³ÀÇ ¿ä¼Ò¿¡ °³º°ÀûÀ¸·Î ÇÁ¸®½ºÆ®·¹½º ÇÏÁß ÀçÇÏ

Line (by 2 Nodes) : 2°³ÀÇ ÀýÁ¡À¸·Î ¼±ÅÃµÈ ¿ä¼ÒµéÀ» ÇϳªÀÇ ¿ä¼Ò·Î °í·ÁÇÏ¿© ÇÁ¸®½ºÆ®·¹½º ÇÏÁß ÀçÇÏ