Story Eccentricity

 

기능

건축물의 편심율(Story Eccentricity)을 Spread Sheet형식의 Table로 확인하거나 수정합니다. 편심율은 Building Control Data에서

  층의 중심(Story Center for Eccentricity Ratio)이 정의되어 있어야 합니다.

  " Model/Building/Control Data" 에서 "Story Shear Force Ratio" 의 “Consider Story Module”을 Check On을 했을 경우 중복층의

  전단력에 대한 정확한 결과를 얻을 수 있습니다.

  Results > Result Tables > Story > Define Module에서 모듈을 정의한 경우에 테이블의 첫 번째 Column에 Module이 생성됩니다.

midas Gen 의 Table Tool은 강력하고 다양한 각종 기능을 내장하고 있으며 자세한 사용법은 Table Tool의 사용법을 참조하기 바랍니다.

 

호출

[Results] 탭 > [Tables] 그룹 > [Story] > [Story Eccentricity]

 

입력 

Module 기능을 적용하지 않은 경우

Story : 층 이름

Level : 층 높이

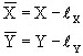
Story Center : 층중심의 위치

Stiffness Center : 강성중심의 위치

Ecc. Dist. : 편심거리

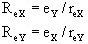
Torsion Stiffness : 강성중심 위치에서 층의 비틀림강성

El. Radius : 탄성반경

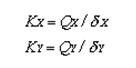
Ecc. Ratio : 편심율

 

Module 기능을 적용한 경우

Module : 모듈 이름

Story : 층 이름

Level : 층 높이

Story Center : 층중심의 위치

Stiffness Center : 강성중심의 위치

Ecc. Dist. : 편심거리

Torsion Stiffness : 강성중심 위치에서 층의 비틀림강성

El. Radius : 탄성반경

Ecc. Ratio : 편심율

 

Note

[편심률의 의미]

 

[편심율의 계산방법]

 

[계산의 예]