For new or additional material properties
Click in the
Plastic Material dialog box and enter the following data:
Name:
Name of plastic
model
Model: Type
of plastic model
Tresca:
This yield criterion is suitable for ductile materials such as
metals, which exhibit Plastic Incompressibility.
von
Mises:This yield criterion is based on distortional strain
energy and is the most widely used yield criterion for metallic
materials.
Mohr-Coulomb:This
yield criterion is a generalization of the Coulomb's friction
rule and is suitable for materials such as concrete, rock and
soils, which exhibit volumetric plastic deformations.
Drucker-Prager:This
criterion is a smooth approximation of the Mohr- Coulomb criterion
and is an expansion of the von Mises criterion. This Drucker-Prager
criterion is suitable for materials such as concrete, rock and
soils, which exhibit volumetric plastic deformations.
Note
For
additional details on the above 3 hardening criteria, refer to
Material
Nonlinear Analysis under
Support>Technical Papers on MIDAS website (http://en.midasuser.com).
Masonry:
This model is suitable for the elastic analysis finding the crack
positions using masonry materials such as bricks, mortar joints,
etc.
Plastic Data
If Tresca
or Von Mises is selected,
specify Initial Uniaxial
(tensile) Yield Stress.
If Mohr-Coulomb
or Drucker-Prager is selected,
specify Initial Cohesion
and Initial Friction Angle.
Initial Cohesion
Note
When normal stress
is '0', Initial Cohesion is equal to the yield stress due to shear
stress only.
Initial Friction
Angle
Note
Initial Friction
Angle, which is available only if Mohr-Coulomb or Drucker-Prager
is selected as the Plastic Material Model, ranges from 0 to 90.
Either use the default angle of 30 or specify the angle.
Hardening
As a material yields, hardening defines the change of yield surface
with plastic straining, which is classified into the following
three types.
Isotropic:
Isotropic hardening
Kinematic:
Kinematic hardening
Mixed:
Mixed type hardening
Note
For
additional details on the above 3 hardening criteria, refer to
Material
Nonlinear Analysis under
Support>Technical Papers on MIDAS website (http://en.midasuser.com).
Back Stress Coefficient
Represents the extent
of Hardening
'1' for Isotropic Hardening
'0' for Kinematic Hardening
between '0~1' for Mixed Hardening
Note
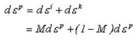
Total increment
of Plastic Hardening can be expressed by Isotropic Hardening and
Kinematic Hardening as follows:

In this case, M
refers to the Back Stress Coefficient, and ranges between 0 and
1.
Hardening Coefficient
Tangent stiffness of material after
yielding
In general, after the first yielding,
the Hardening Coefficient either becomes smaller than the initial
tangent stiffness or becomes constant.
Note
In
case of von Mises model (Plastic Material), the Hardening Coefficient
cannot exceed the Elastic Modulus defined in Model > Property
> Material.
When Masonry is selected
Brick
Material Properties
Bed Joint Material
Properties
Head Joint Material
Properties
Geometry of
Masonry Panel
Material Coordinate System:
Orthotropic material properties are assumed for modeling a masonry
structure. So it is important to define the Material Coordinate
System properly.
Vertical
: Horizontal: Select a method to define the Material Coordinate
System. The Vertical and Horizontal represent the vertical axis
and horizontal axis of a masonry wall respectively.
Global-Y
: Global-X: The global-Y axis and the global-X axis must
correspond to the gravitational direction and the horizontal direction
of the masonry wall respectively.

Material Coordinate System is set as Global-Y
: Global-X
Local-y
: Local-x: The local-y axis and the local-x axis of elements
must correspond to the gravitational direction and the horizontal
direction of the masonry wall respectively.

Material Coordinate System is set as Local-y
: Local-x
Global-Z
: Angle: The global-Z axis must correspond to the gravitational
direction of the masonry wall and the horizontal direction of
the wall can be defined by the angle with respect to the global-X
axis on the global XY plane. The masonry wall is not necessarily
located on the global X-Z plane. It can be rotated about the global-Z
axis with any angle from the global-X axis.

Material Coordinate System is set as Global-Z
: Angle
Note
For
masonry models where the local axes of elements are not oriented
in the same direction, it is better to select Global-Y:Global-X or
Global-Z:Angle
as the Material Coordinate System. |