Section

 

 

 

Enter section properties for line elements (Truss, Tension-only, Compression-only, Cable, Gap, Hook, Beam Element).

 

 

 

From the Main Menu select Properties > Section > Section Properties.

 

 

 

 

 

 

  •  To enter new or additional section properties

 

Click 00-Add.jpg in the Properties dialog box and enter the following: Enter the section properties by entry types.

 

  •  Modification of previously entered section data

 

Select the section to be modified from the list in the Section dialog box and click 00-Modify.jpg to modify the related data.

 

  •  Removal of previously entered section data

 

Select the section to be deleted from the list in the Section dialog box and click 0-Delete.jpg.

 

  •  To copy previously entered section data

 

Select the section to be copied from the list in the Section dialog box and click 0-Copy.jpg.

 

  •  To modify section data from an existing fn.MCB file

 

Click 00-Import.jpg and select the MCB file containing the section data or specify a file name then click Open.jpg. [Details]

 

  •  To modify previously entered section property numbers

 

Select the section property numbers to be renumbered from the list in the Properties dialog box and modify the related data followed by clicking 0-Rember.jpg. [Details]

 

 

00-Check.jpgSection ID

 

 Section number (Auto-set to the last section number +1)

 

Note

Up to 999999 Section ID's  can be assigned.

 

 

00-Check.jpgName

 

  Section name (Sect. Name by default if not specified)

 

 

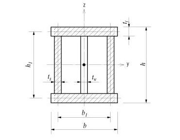
00-Check.jpgOffset

Display the section Offset currently set. Location of the Centroid of a section is set as default. Click  08-S-5.jpg  to specify a section Offset away from the Centroid. Use 08-S-4.jpg Hidden to verify the input.

[Details]

 

 

00-Check.jpgConsider Shear Deformation

 

Select whether to consider shear deformation. This option will be applicable for structural analysis, but will not affect the effective shear areas that appear by clicking 08-S-6.jpg .

 

 

00-Check.jpgConsider Warping Effect (7th DOF)

 

Select whether to consider warping effect. In case of non-uniform torsion which occurs when warping deformation is constrained, torque is resisted by St.Venant torsional shear stress & warping torsion. The effects of warping torsion can be simulated in 1D beam elements for more accurate results in case of the curved member, eccentric loading, and difference in centroid and shear center.

When “Consider Warping Effect(7th DOF)” is considered, warping constant (Iw), warping function (w1, w2, w3, w4), and shear strain due to twisting moment (γxy1, γxy2, γxy3, γxy4, γxz1, γxz2, γxz3, γxz4) can be checked in Section Properties dialog box.

 

Note. Applicable element types, boundary conditions and analysis type

 

Applicable element type: General beam/Tapered beam

Applicable boundary condition: Supports, Beam End Release

Applicable analysis type : Linear Static , Eigenvalue , Response Spectrum,  Construction Stage Analysis

Related post-processing: Reactions, Displacements, Beam Forces/Moments, Beam Stresses

 

 

00-Check.jpgSection Properties

 

Click 08-S-6.jpg to display the section property data. The section property data table is either calculated from the main dimensions or obtained from the DB depending on the method of data entry.  [Details]

 

 

Note 1

All the above section property data except for Area and Peri are required for beam elements.

 

Note 2

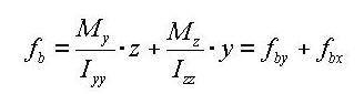
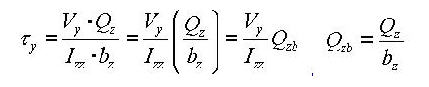
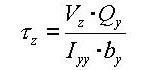
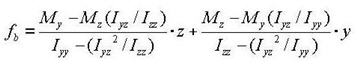
The shear deformations are neglected if the effective shear areas are not specified. Cyp, Cym, Czp and Czm are used to calculate the bending stresses. Qyb and Qzb are used to calculate the shear stresses. Peri is used to calculate the Painting Area.

 

Note 3

Zyy and Zzz are used to calculate the strength for pushover analysis when Value Type Steel Section has been assigned Design > Pushover Analysis > Define Hinge Properties.

 

Note 4 Element Stiffness data

Sections can be defined by the stiffness data entries even if the section dimensions (H, B1, ... , etc.) are not entered.

 

  • Area (Cross-Sectional Area)

  • Effective Shear Areas (Asy, Asz)

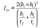
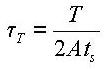
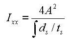
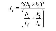
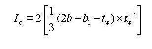
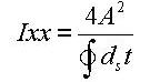
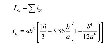
  • Torsional Resistance (Ixx)

  • The torsional resistance of the closed section (hatched part)

  • The torsional resistance of the open sections (unhatched parts)

  • The total resistance of the built-up section

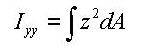
  • Area Moment of Inertia (Iyy, Izz)

  • Area moment of inertia about the ECS y-axis

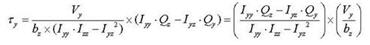
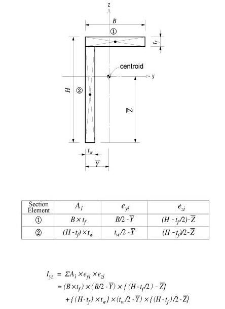
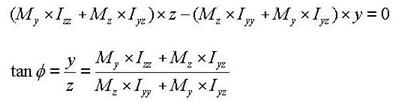
  • Area Product Moment of Inertia (Iyz)

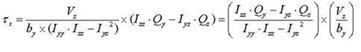
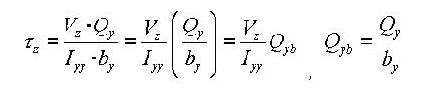
  • First Moment of Area (Qy, Qz)

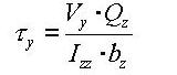
  • Shear Factor for Shear Stress (Qyb, Qzb)

  • Stiffness of Composite Sections

 

Note 5

Determining the positions of y1~4, z1~4 of a section imported from SPC [Details]

 

 

00-Check.jpg Section Type

 

  • [DB/User tab]

 

  • [Value tab]

 

  • [SRC tab]

 

  • [Combined tab]

 

  • [Tapered tab]

 

  • [Composite tab]