Beam Section Temperatures

 

 

 

Enter the temperature differences between specific locations of beam for thermal stress analysis.  The vertical temperature gradient is considered in concrete and steel superstructures with concrete decks, which are subject to temperature difference due to direct sun light and shade.

 

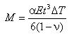
The temperature gradient analysis is applicable for elements with bending stiffness such as beam and plate elements. The gradient temperature produces the following equivalent moments:

 

  • In the case of a beam element

 

       05-BST-1.jpg

 

  • In the case of a plate element

 

       05-BST-2.jpg

 

Where,  is the linear thermal expansion coefficient, E is the modulus of elasticity, I is the moment of inertia about the relevant axis of the beam element,  is the temperature difference between the two extremities (outermost faces) of the element, h is the distance between the two extremities of the beam section, t is the thickness of the plate and  is the Poisson's Ratio.

 

A temperature difference may be also defined by the Temperature Gradient function. In case of Temperature Gradient, only the temperature difference between the top and bottom of a section can be entered. However, in case of Beam Section Temperature, temperature differences for certain locations in a section can be entered.

 

05-BST-3.jpg

 

 

 

 

From the Main Menu select Load > Temp./Prestress > Temperature Loads > Beam Section Temperature.

 

 

 

 

 

00-Check.jpg Load Case Name

 

Assign the load case name. Click 00-Point.jpg to the right to enter additional load cases and modify or delete existing load cases.

 

00-Check.jpg Load Group Name

 

Select the desired Load Group Name. Click 00-Point.jpg to the right to enter additional load group names and modify or delete existing load group names.

 

00-Check.jpg Options

 

Add: To enter new or additional partial temperature loads to beam elements

 

Replace: To replace previously entered temperature loads

 

Delete: To delete previously entered temperature loads

 

00-Check.jpg Direction

 

Local-y: Temperature difference in the direction of ECS y-axis

 

Local-z: Temperature difference in the direction of ECS z-axis

 

 

00-Check.jpg Ref. Position

 

Specify a reference location for temperature difference on a beam element.

 

Centroid: Centroid of beam element

 

+End (Top): The upper extreme fiber of the beam

 

-End (Bot.): The lower extreme fiber of the beam

 

 

00-Check.jpg Section Temperature

 

Initial Temperature
Specify the initial temperature in Structure Type.

 

Material
Define the material properties of the beam elements.

 

Element: Apply the material property information of the selected beam elements.

 

Input: Define the material properties to be applied to the thermal stress analysis.

 

Elast.: Modulus of elasticity

 

Therm.: Thermal expansion coefficient

 

B: Width being considered for temperature difference. If a section for which the temperature difference is to be considered is not

a rectangle, the section needs to be transformed into an equivalent rectangular section.

 

 

05-BST-5.jpg

 

 

H1, H2: Distances defining the locations of temperature differences from the reference position of the beam element

 

T1, T2: Temperatures at H1 and H2 respectively

 

Click 0-Add.jpg to add the input data to the list. To modify the data, click 0-Modify.jpg after selecting and revising the relevant data. 0-Delete.jpg is similarly used.

 

Note
When a temperature load is applied linearly to structural elements, self-restrained stresses do not occur. However, if a nonlinear temperature load is applied to structural elements, self-restrained stresses may take place. Such internal retrained stresses occur without the presence of external restraints causing residual stresses internally.

 

 

 tri.jpgRevision of Gen 2014 (v2.1)

 

Q1. How Beam Section Temperature load should be applied for tapered section as we cannot define different temperature variation for i-end, middle, and j-end separately?