Displacement Participation Factor

 

 

 

Based on a lateral load case, displacement participation by each element for each force component (Axial, Torsional, Moment-y, Moment-z, Shear-y & Shear-z) can be checked in Contour and Value. In order to check the displacement participation factor, a unit load needs to be input  in the direction of the lateral load at the location of the maximum displacement.

 

 

 

From the Main Menu select Results > Detail > Displacement Participation Factor.

 

 

 

 

0-Check.jpg Displacement Load Case

 

Select a desired lateral load case for which we wish to investigate the displacement participation factors of the elements/sections.

 

Click 0-Point.jpg to the right to add new or modify/delete previously defined load cases. (Refer to Load Cases.)

 

 

0-Check.jpg Unit Load Case

 

Select a unit load case, which is applied at the location of the maximum lateral displacement. Displacement participation factors of the elements/sections are relative to the location and direction of the unit load.

 

Click 0-Point.jpg to the right to add new or modify/delete previously defined load cases. (Refer to Load Cases.)

 

 

0-Check.jpg Type of Results

 

Element: Displacement participation factors by elements

 

Note
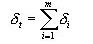
Displacement participation factors by elements are calculated as follows:

 

05-DPF-2.jpg

 

where,

 

05-DPF-3.jpg: Displacement participation by each element    

 

05-DPF-4.jpg   : Each displacement component of each element   

 

05-DPF-5.jpg : Weight of each element

 

Section: Displacement participation factors by section properties

 

Note
Similarly, displacement participation factors by section properties are calculated as follows:

 

05-DPF-6.jpg

 

where,  

 

05-DPF-7.jpg:  Displacement participation by each section property  

 

m     : Number of elements having identical section properties

 

 

Let us take an example of a simply supported beam, which exhibits a deflection of Δ under the external load L (Fig. 1a). We then apply a unit load at the location of Δ (Fig. 1b) in the same direction of Δ

 

05-DPF-8.jpg                        

                                          

                                             Fig. 1 Unit load method

 

 

The external virtual work (05-DPF-9.jpg ) in Fig. 1b is expressed as  

 

                               05-DPF-10.jpg

 

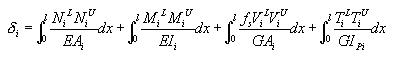
The deflection Δ due to the external load L in Fig. 1a can be expanded into axial deformation 05-DPF-11.jpg , flexural deformation 05-DPF-12.jpg , shear deformation 05-DPF-13.jpg  and torsional deformation 05-DPF-14.jpg . And the internal force in the simple beam due to the unit load is consisted of 05-DPF-15.jpg. The internal virtual work done by the unit load to cause the deformation Δ becomes    

 

05-DPF-16.jpg

 

If the above beam behaves linearly, and we define the internal forces caused by the external load L as 05-DPF-17.jpg, the deformation of the beam element becomes

 

05-DPF-18.jpg

 

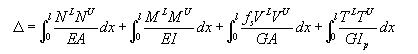
 We then apply the principle of virtual work, ( 05-DPF-19.jpg ), to derive the equation of the unit-load method.

 

05-DPF-20.jpg

 

 where, 05-DPF-21.jpg : shape factor for shear

 

Expanding the concept of the unit load method to a building subject to a wind load as shown in Fig. 2b, we apply a unit load at the top of the building as Fig. 2a to find the maximum lateral displacement. If we consider the maximum displacement due to the wind as a virtual displacement 05-DPF-22.jpgis the sum of displacements contributed by the individual elements.

 

05-DPF-23.jpg

 

 where, m : Number of elements

 

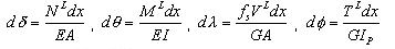
 05-DPF-24.jpg  is said to be the displacement participation of each element, which is expressed as  

 

05-DPF-25.jpg

 

Displacement participation in a lateral resisting system can be quantified and as such it can be optimized.

 

05-DPF-26.jpg    

           

Fig. 2  Unit load application for lateral displacement calculation

 

 

0-Check.jpg Components

 

Select a component for displacement participation by elements and section properties.

 

Total: Sum of displacement participation for all the components

 

Axial: Displacement participation for axial component in the x-axis direction of the Element Coordinate System

 

Torsional: Displacement participation for torsional moment component about the x-axis of the Element Coordinate System

 

Moment-y: Displacement participation for bending moment component about the y-axis of the Element Coordinate System

 

Moment-z: Displacement participation for bending moment component about the z-axis of the Element Coordinate System

 

Shear-y: Displacement participation for shear force component in the y-axis of the Element Coordinate System

 

Shear-z: Displacement participation for shear force component in the z-axis of the Element Coordinate System

 

 

0-Check.jpg Type of Display

 

Define the type of display as follows:

Contour

Display the displacement participation of the model in contour.

 

 

0-Point.jpg

Ranges: Define the contour ranges.

 

0-Customize_Range...jpg : Assign the color distribution range of contour. Using the function, specific colors for specific ranges can be assigned.

 

Note
Contour Range Max/Min values can be larger than the max/min output values.  

If the Contour Range values exceed the output values, they are entered at Rank 0 and Rank 11.

 

Number of Colors: Assign the number of colors to be included in the contour (select among 6, 12, 18, 24 colors)
 

Colors: Assign or control the colors of the displacement contour.

 

Color Table: Assign the type of Colors.

 

0-Customize_Color_Table.jpg : Control the colors by zones in the contour.

 

Reverse Contour: Check on to reverse the sequence of color variation in the contour.

 

Contour Line: Assign the boundary line color of the contour

 

Element Edge: Assign the color of element edges while displaying the contour
 

Contour Options: Specify options for contour representation

 

Contour Fill

 

Gradient Fill: Display color gradient (shading) in the contour.

Draw Contour Lines
: Display color boundaries in the contour.

 

Draw Contour Line Only
Display only the colored boundaries of the contour.

 

Mono line: Display the boundaries of the contour in a mono color.

 

Contour Annotation
Legend or annotation signifying the ranges of the contour is displayed.

 

Spacing: Display the spacing for the legnd or annotation.

 

Coarse Contour (faster) (for large plate or solid model)
Represent a simplified contour for a large model using plate or solid elements in order to reduce the time required to represent a complete contour.

 

Extrude
Where plate elements or solid elements along a cutting plane are represented in contour, a three dimensional contour is created. The positive direction of the analysis results is oriented in the z-axis direction of the local element coordinate system.
The option is not concurrently applicable with the Deformed Shape option. Similarly, the option cannot be concurrently applied to the cases where the Hidden option is used to display plate element thicknesses or the Both option is used to represent Top & Bottom member forces (stresses).

 

Values

Display the nodal displacements in numerical values.

 

The font and color of the numbers can be controlled in 0-Display_Option.jpg Display Option.

 

 

0-Point.jpg

Decimal Points: Assign decimal points for the displayed numbers

Exp.
: Express as exponential
 

Min & Max: Display the maximum and minimum values

Abs Max
: Display the absolute maximum value

Max
: Display only the maximum value

Min
: Display only the minimum value

Limit Scale(%)
: Set the screen display limit for nodal displacements relative to the selected maximum or minimum value
 

Set Orientation: Display orientation of numerical values

 

Note
The default Decimal Points can be controlled in "Preferences".

Set Orientation = 0 horizontally displays the numerical values to the right of nodes or elements.

The orientation angle represents the counter-clockwise direction, which may be used to enhance the readability of the numbers.

 

Legend

Display various references related to analysis results to the right or left of the working window.

 

Element numbers pertaining to the maximum and minimum forces are displayed.

 

0-Point.jpg

Legend Position: Position of the legend in the display window

 

Rank Value Type: Values for Legend (Exponential or fixed values)

 

 

 

0-Check.jpg Type of Display

 

Click the Displ. Participation Factor button to prompt a dialog box, which shows the prediction of lateral displacement and the change of weights based on changing sections.

 

 

 

0-Change_Section.jpg : Used to change sections selected in the list

 

0-Rest.jpg : Used to revert sections selected in the list to the sections of the original model

 

0-Rest_All.jpg: Used to revert all the changed sections to the sections of the original model

 

Calculated Displacement: Lateral displacement

 

Displacement Decrease: Change (reduction) of displacement

 

Weight Increase steel: Increase in weight of structural steel

 

concrete: Increase in weight of concrete

 

0-Update_Section.jpg: Incorporate the changed sections into the model.