Brace Design

 

 

 

Using the results obtained from the analysis of the entire structure and additional design data, automatically design concrete brace members according to the following design codes: American Concrete Institute (ACI318-89, ACI318-95, ACI318-99, ACI318-02 & ACI318-05), Canadian Standards Association(CSA-A23.3-94), British Standard (BS8110-97) and European Standard (ENV 1992-1-1:1992 & EN 1992-1-1:2004).

 

Architectural Institute of Japan (AIJ-WSD99), Architectural Institute of Korea (AIK-USD99), Korean Society of Civil Engineers (KSCE-USD96), Korean Concrete Institute (KCI-USD03 & KCI-USD99), Architectural Institute of Korea (AIK-WSD2K), China Standard((GB50010-02) ,Taiwan Standard (TWN-USD92) and Indian Standard (IS456:2000) are available upon request.

It performs automatic design for nonlinear brace members.

 

Note
In cases where tension-only/compression-only elements have extremely small compressions/tensions, the compression/tension forces are ignored in the design processes of the members if they are less than 1/10000 of (Area of concrete) X fck.

 

 

 

From the Main Menu select Design > Design > RC Design > Concrete Code Design > Brace Design.

 

Shortcut key : [Ctrl]+3

 

 

 

The automatic design results are based on the maximum axial forces and biaxial moments evaluated on the basis of P-M interaction diagrams and shear forces in accordance with the load combinations for concrete design.

 

When the elements to be designed are not assigned as Members, the design is executed for the I- and J-ends of each element.

When the elements are assigned as Members, design is executed at positions I, 1/2 & J of each member.

 

The automatic design results can be sorted by members or section properties.

 

The automatic design results sorted by elements are based on the maximum axial forces, biaxial moments and shear forces calculated at the positions (I, 1/2, & J) of each element in accordance with the load combinations for concrete design. Factored strength ratios with respect to the design strengths are evaluated on the basis of P-M interaction diagrams.

 

The automatic design results sorted by section properties are based on the results that produce the maximum strength ratios in the P-M diagrams by considering all the elements and locations pertaining to each section property in accordance with the load combinations for concrete design.

 

The results appear in blue when the automatic design for the given properties is satisfactory, otherwise they appear in red which represent the results are unsatisfactory.

 

The automatic design provides optimal rebar sizes, the number of rebars and the number of rows of rebars satisfying the rebar spacing and ratio, using the main rebars (maximum 5 types) and sub-rebars (1 type) entered by the user.

 

When the user elects not to enter the rebar data, the program automatically designs the members using #7 for the main rebars and #3 for the sub-rebars.

 

The automatic design results are produced in the unit system selected by the user.

 

 

 

MEMB: Member number

 

SECT: Section property number

 

SEL: Select members for strength verifications and production of results

 

Note
Use Spacebar Key to select or cancel.

 

Section : Section name

 

Bc, Hc: Width, height (depth) of brace member

 

Height: Height (length) of brace member

 

f'c: Design compressive strength of concrete

 

fy: Design yield strength of main rebars

 

fys: Design yield strength of shear rebars

 

CHK: Status of automatic design results (Results are produced in the 01-BD-2.jpg state for convenience)

 

= "OK": Automatic design results satisfy the design strength for the factored axial force, moment and shear force

 

= "P**": Automatic design results do not satisfy the design strength for the factored axial force

 

= "*M*": Automatic design results do not satisfy the design strength for the factored moment

 

= "**V": Automatic design results do not satisfy the design strength for the factored shear force

 

= "PM*": Automatic design results do not satisfy the design strength for the factored axial force and moment

 

= "*MV": Automatic design results do not satisfy the design strength for the factored moment and shear force

 

= "P*V": Automatic design results do not satisfy the design strength for the factored axial force and shear force

 

= "PMV": Automatic design results do not satisfy the design strength for the factored axial force, moment and shear force

 

LCB: Load combination yielding the maximum factored load ratio determined from the P-M diagram. The program examines all the load combinations and sectional locations of the relevant member or section property to find the maximum ratio.

 

Pu: Factored compression (tension) force acting on the brace member under the load combination displayed in LCB

 

= Pu > 0: Compressive axial force acting in the member's axial direction

 

= Pu < 0: Tensile axial force acting in the member's axial direction

 

Rat-P: Ratio of the factored axial force (Pu) to the design axial strength (02-CD-3.jpgPn). The ratio larger than 1.0 signifies that the design strength is unsatisfactory even if the rebar quantity is increased to the maximum rebar ratio or the minimum rebar spacing for the relevant brace section.

 

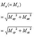
Mu: Factored bending moment in the brace member under the load combination displayed in LCB. The value is calculated as follows :

 

 03-BD-2.jpg

 

Rat-M : Ratio of the factored bending moment (Mc) to the design bending moment strength (02-CD-3.jpgMn). The ratio larger than 1.0 signifies that the design strength is unsatisfactory even if the rebar quantity is increased to the maximum rebar ratio or the minimum rebar spacing for the relevant brace section.

 

Ast : The quantity of main rebars auto-calculated by the program. This is larger than the minimum rebars specified by the

codes.

 

V-Rebar : Optimum rebar size and the number of rebars, which satisfy the design constraints (minimum/maximum rebar

spacings, minimum/maximum reinforcing steel ratios).

 

Notation : n1 - n2 - #xx(Dxx)

 

(n1: number of main rebars, n2: number of rows of main rebars, #xx(Dxx) : designated standard size for main rebars)

 

Vu : Maximum factored shear force of the relevant member or section on the basis of examining all the load combinations at the

5 sectional locations.

 

Rat-V : Ratio of the factored shear force (Vu) to the design shear strength (02-CD-3.jpgVn). The ratio larger than 1.0 signifies that the

design strength is unsatisfactory even if the rebar quantity is increased to the maximum rebar ratio or the minimum rebar

spacing for the relevant brace section.

 

As-H : Reinforcing steel section area (LengthUnit 2 / LengthUnit x 100 ) required for the shear force calculated by the

program, with the lower bound being the minimum rebar quantity specified in the codes.

 

H-Rebar : Shear rebar placement spacing expressed in terms of As-H using the sub-rebar standard sizes entered by the user.

 

The following are displayed for H-Rebar based on the automatic design results :

 

= "#xx @yyy", "Dxx @yyy"

 

xx is the designated standard rebar size, yyy is the rebar spacing (unit: inch).

 

= "Failure"

 

 

when the shear strength Vs exceeds

        01-BD-3.jpg

in ACI318-89, ACI318-95, ACI 318-99 & ACI318-02

 (unit: lb/in2)

when the shear strength Vs exceeds

01-BD-4.jpg

in CSA-A23.3-94 (unit: N/mm2)

when the applied shear stress v exceeds

01-BD-5.jpg

in BS8110-97 (unit: N/mm2)

when the required shear reinforcing ratio,

01-BD-6.jpg

exceeds 1.2% in AIJ-WSD99

when the shear strength Vs exceeds

01-BD-7.jpg

in AIK-USD94 (unit: kgf/cm2)

when the shear strength Vs exceeds

01-BD-8.jpg

in KSCE-USD96 (unit: kgf/cm2)

when the shear strength Vs exceeds

01-BD-9.jpg

in KCI-USD03 (unit: N/mm2)

when the shear strength Vs exceeds

01-BD-10.jpg

in KCI-USD99 (unit: kgf/cm2)

when the applied shear stress v exceeds

       01-BD-11.jpg

in AIK-WSD2K (unit: kgf/cm2)

when the applied shear stress 01-BD-26.jpg exceeds

01-BD-12.jpg (Refer to the Note below)   in IS 456:2000 (unit: N/mm2)

  

Note

 01-BD-12.jpg is stipulated by IS456:2000 as follows:

 

Concrete Grade

M15

M20

M25

M30

M35

M40 and above

01-BD-12.jpg

2.5  

2.8

3.1

3.5

3.7

4.0

 


 

Common Control

 

 

02-CD-15.jpg : Display the applicable code for automatic design.

02-CD-16.jpg

: "Sorted by Member" displays the design results including the maximum strength ratios obtained from the P-M interaction diagrams and factored shear forces extracted from all the load combinations at the sectional locations (I,1/4,1/2,3/4 & J).Display the design results by individual members. Arrangement order is based on the 'Primary Sorting Option' shown below.

 

"Sorted by Property" displays the design results of the maximum strength ratios obtained from the P-M interaction diagrams and factored shear forces representing all the members attributed to the relevant section property. Since the results do not pertain to a single member, MEMB (member  number) is "0".

 

Once Property is selected, SEL controls all the members attributed to the same section properties.

 

 

01-BD-15.jpg : Display the unit system selected by the user.

03-BD-3.jpg

: When automatic design results are produced by members, select an option whether to arrange the results on the basis of section numbers or member numbers in an ascending order.

 

 

0-Undate_Rebar.jpg : Update the rebar quantity for each property type in the rebar design data.

 

The updated rebar data are used for strength verification.

 

 

0-Select_All.jpg : Select all members

 

0-Unselect_All.jpg : Cancel the selection of all members

 

0-Re-calculation.jpg

 

Redesign the selected members. When the redesign is executed from the results displayed by section properties, all the members attributed to the same sections are included. This option can be used even when the rebar splice data is changed.

 

Note

When modifying the design parameters ('Modify Concrete Material', etc.) that can affect all the design results, this option cannot be used since the design results will be deleted.

 

 

01-BD-2.jpg : Display detail automatic design results

 

01-BD-18.jpg : Display simplified automatic design results

 

0-Graphic.jpg : Produce the automatic design results in summary calculations for the selected members.

 

Note

In all the Design Result Dialogs & Code Checking Result Dialogs, the Graphic Reports can be saved in a batch.

 

 

 

0-Detail.jpg : Produce the automatic design results in detail calculations for the selected members.

 

The design results "Sorted by Member" support the detail calculations.

 

 

 

 

0-Summary.jpg : Produce the summary list of automatic design results for the selected members.

 

The forces corresponding to the maximum rebars are produced when "Sorted by Property" is selected, representing all the members of same properties.

 

 

 

0-Draw_PM_Curve.jpg

 

Plot the results and the corresponding P-M interaction diagram applicable for the factored axial force and biaxial moments.

 

 

 

 

01-BD-24.jpg

 

All: Produce all the auto-designed results in the Design Results dialog box

 

OK: From the auto-designed results, display only the design results that have met the design requirements (OK), in the Design Results dialog box

 

NG: From the auto-designed results, display only the design results that have not satisfied the design requirements (NG), in the Design Results dialog box

 

Connect_Model_View.jpg : Check in the option to select and highlight the selected members in Model View.

 

0-Close.jpg : Close the dialog box