If Load
Control is selected, pushover analysis is carried out
to reach the estimated collapse load (Qud) through the
load increments.
Load Case
Name
Enter the
load case name pertaining to Pushover analysis.
Description
State a
brief description related to the pushover load case.
General
Control
Incremental Steps
(nstep) : Number of
steps to reach the estimated collapse load
Note
The incremental steps
must be entered as a positive integer value (nstep≥1),
and minimum 20 steps are recommended. (Default = 20)
Consider
P-Delta Effect : Check
on to consider P-Delta geometric nonlinear effects.
Note
1
P-Delta
effect is very important in pushover analysis. Lateral
displacement caused by the lateral load can be magnified
by the gravitational load and this effect can reduce the
lateral stiffness of the structure. Especially when plastic
hinges occur at the lower part of the columns, which are
under large axial forces, the reduced lateral stiffness
can cause the collapse of the structure.
Note
2
Tthe
stiffness rapidly decreases after reaching peak strength
in case of FEMA and Eurocode type hinge, while geometric
stiffness is neglected after reaching ultimate strength,
i.e. Collapse Prevention (CP) and Near Collapse (NC),
respectively.
Initial
Load
Accumulate the reaction/story
shear/displacement due to the initial load to the pushover
analysis result.
Use Initial
Load
Reaction
/ Story Shear by Initial Load : Accumulate the
reaction/story shear due to the initial load
Displacement
by Initial Load : Accumulate the displacement due
to the initial load
Note
1
When
P-M interaction is considered, the user needs to apply
the initial load.
Note 2
When importing the
static analysis result (ST) and the construction stage
analysis result (CS), reaction and displacement are not
cumulated.
Stepping
Control Option
Specify
the control data for the load increment.
Auto-Stepping
Control:The
applied load (Qud) is divided by the automatically calculated
load parameters. The first step is loaded up to 90% of
the elastic limit of the structure. Further steps are
automatically divided by the ratio of.
Note
1
Elastic
limit means the estimated load under which the first yield
occurs.
Equal
Step (1/n step) :The applied load (Qud) is equally
divided by the number of nstep.
Incremental
Control Function: The
applied load (Qud) is divided by the user-defined function.
Refer to Design>Pushover Analysis>Pushover Increment
Functions to see how to define user-defined function.
Analysis
Stopping Condition
Specify the condition of
termination of Pushover analysis.
Current
Stiffness Ratio (Cs) : If the Current Stiffness
Ratio (Cs) is entered and the ratio of the stiffness at
the current an incremental step to the initial stiffness
reaches the specified value, the analysis is terminated.
For example, if the user specifies the Current Stiffness
Ratio as 5%, analysis will be terminated when the ratio
of the current stiffness to the initial stiffness becomes
0.05.
Note
In addition
to the above conditions for termination of analysis, analysis
is also terminated if the maximum number of increments
is reached, or negative values are encountered in the
stiffness matrix.
Limit Inter-Story Deformation
Angle:
If the Limit Inter-Story Deformation Angle is entered
and the maximum Inter-Story Deformation Angle reaches
the specified value, the analysis is terminated. (Default=1/10)
Load
Case(Qud)
Define
the type of load pattern (ratio of magnitude) to be applied
to pushover analysis
Load
Type
Static
Load Case: Use the load pattern of static load
cases that have been defined.
Note
The combination of load cases multiplied
by the corresponding scale factors is used as the load
pattern.
Uniform
Acceleration: The load is distributed relative
to the inertia forces developed in the structure, which
has been subject to a uniform acceleration. If the acceleration
is uniform, the load pattern is determined proportionally
to the mass at each story level.
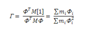
The value
of gamma obtained for EC8/Masonry and NTC 2008 will
always be 1.
Gamma
is defined as:
Since the
mode shape is such that the displacement of all the
stories is assumed to be 1. Hence whatever be the
weight of the story the gamma will always be 1.
Assumed
Mode Shape for Uniform Acceleration
Mode Shape:The
pushover load pattern retains a mode shape and as such,
eigenvalue analysis is a prerequisite. The user can select
the orders of natural modes that are applied to determining
the pushover load pattern.
Normalized
Mode Shape* Mass: The
Load pattern for the pushover analysis is obtained by
the normalized mode shape*mass.
Normalization
of Mode Shape
Note 1.
Choice of Master Node
It is recommended that the master
node be the node at the centre of mass of the structure
so that the normalized mode shape is such that the normalized
value of phi for centre of mass at roof becomes 1.
Note
2. Generation of
Lateral Load Pattern of "Mode Shape*Mass"
The following is an example of how
the lateral load pattern is obtained:
Gamma can be calculated
in the following two ways:
1. Based on 2D Behaviour
(EC8-1:2004 Annex B)
2. Based on 3D Behaviour
1. Based
on 2D Behaviour (EC8-1:2004 Annex B):
2D Behavior is based
on EC8 -1 :2004 Annex B and determines the value of
gamma by only considering the direction in which
pushover analysis is performed .
Hence
the value of gamma is :
2. Based
on 3D Behaviour: 3D Behavior determines
the gamma by considering lateral deflection
in all the possible directions.
Hence the value of gamma
becomes:
Load
Case/Direction/Mode: Specify the load cases/directions/mode
related to the specified load type.
Note
1
For the Static
Load Cases: All the static load cases are activated.
For the Uniform
Acceleration: Load distribution directions (DX, DY, DZ)
are activated.
For
the Mode Shape and Mode Shape * Mass: The User directly
enters the mode. For this option, eigenvalue analysis
must precede pushover analysis.
Note
2
If the following
temperature loads are entered in the Load Pattern input
box, pushover analysis cannot be performed.
If
Displacement Control is selected, pushover analysis is
carried out to reach the target displacement through the
incremental displacements.
Load
Case Name
Enter the
load case name pertaining to Pushover analysis.
Description
State a
brief description related to the pushover load case.
General
Control
Specify
the general control data for nonlinear analysis.
Incremental
Steps (nstep) : Number of steps to reach the prescribed
displacement
Note
The
incremental steps must be entered as a positive integer
value (nstep≥1), and minimum 20 steps are recommended.
(Default = 20)
Use
Initial Load : Check on to assign the load defined
prior to Pushover analysis as the initial load for Pushover
analysis.
Consider
P-Delta Effect : Check on to consider P-Delta geometric
nonlinear effects.
Note
1
P-Delta
effect is very important in pushover analysis. Lateral
displacement caused by the lateral load can be magnified
by the gravitational load and this effect can reduce the
lateral stiffness of the structure. Especially when plastic
hinges occur at the lower part of the columns, which are
under large axial forces, the reduced lateral stiffness
can cause the collapse of the structure.
Note
2
The stiffness
rapidly decreases after reaching peak strength in case
of FEMA and Eurocode type hinge, while geometric stiffness
is neglected after reaching ultimate strength, i.e. Collapse
Prevention (CP) and Near Collapse (NC), respectively.
Initial
Load
Accumulate the reaction/story
shear/displacement due to the initial load to the pushover
analysis result.
Use Initial
Load
Reaction
/ Story Shear by Initial Load : Accumulate the
reaction/story shear due to the initial load
Displacement
by Initial Load : Accumulate the displacement due
to the initial load
Note
1
When
P-M interaction is considered, the user needs to apply
the initial load.
Note 2
When importing the
static analysis result (ST) and the construction stage
analysis result (CS), reaction and displacement are not
cumulated.
Control
Option
Specify
the Target Displacement to be applied to pushover analysis
Global Control
Target displacement is specified
with respect to the node where the maximum translational
displacement occurs.
Maximum
Translational Displacement: Specify the max. target
translational displacement.
Note
For any
structure with an irregular plan the node and direction
of maximum displacement can be changed at each increment.
Master Node
Control
Target displacement is specified
relative to the master node.
Master
Node: Master Node number
Master
Direction: Select one of the three translational
directions for the target displacement in the GCS.
Maximum
Displacement: Max. target displacement
Analysis
Stopping Condition
Specify the condition of
termination of Pushover analysis.
Limit
Inter-Story Deformation Angle:
If the Limit Inter-Story Deformation Angle is entered
and the maximum Inter-Story Deformation Angle reaches
the specified value, the analysis is terminated. (Default=1/10)
Load
Pattern
Define
the type of load pattern (ratio of magnitude) to be applied
to pushover analysis
Load
: In a pushover analysis by displacement control,
relative proportions are of importance for the distribution
pattern rather than the magnitudes of the loads.
Static
Load Case : Use the load pattern of static load
cases that have been defined.
Note
The combination
of load cases multiplied by the corresponding scale factors
is used as the load pattern.
Uniform
Acceleration : he load is distributed relative
to the inertia forces developed in the structure, which
has been subject to a uniform acceleration. If the acceleration
is uniform, the load pattern is determined proportionally
to the mass at each story level.
The value
of gamma obtained for EC8/Masonry and NTC 2008 will
always be 1.
Gamma
is defined as:
Since the
mode shape is such that the displacement of all the
stories is assumed to be 1. Hence whatever be the
weight of the story the gamma will always be 1.
Assumed
Mode Shape for Uniform Acceleration
Mode Shape:The
pushover load pattern retains a mode shape and as such,
eigenvalue analysis is a prerequisite. The user can select
the orders of natural modes that are applied to determining
the pushover load pattern.
Normalized
Mode Shape* Mass: The
Load pattern for the pushover analysis is obtained by
the normalized mode shape*mass.
Normalization
of Mode Shape
Note 1. Choice
of Master Node
It
is recommended that the master node be the node at the
centre of mass of the structure so that the normalized
mode shape is such that the normalized value of phi for
centre of mass at roof becomes 1.
Note 2.Generation
of Lateral Load Pattern for "Mode Shape*Mass"
The
following is an example of how the lateral load pattern
is obtained:
Gamma can be calculated
in the following two ways:
1. Based on 2D Behaviour
(EC8-1:2004 Annex B)
2. Based on 3D Behaviour
1. Based
on 2D Behaviour (EC8-1:2004 Annex B):
2D Behavior is based
on EC8 -1 :2004 Annex B and determines the value of
gamma by only considering the direction in which
pushover analysis is performed .
Hence
the value of gamma is :
2. Based
on 3D Behaviour: 3D Behavior determines
the gamma by considering lateral deflection
in all the possible directions.
Hence the value of gamma
becomes:
Load
Case/Direction/Mode : Specify the load cases/directions/mode
related to the specified load pattern
Note
1
For the Static Load
Cases: All the static load cases are activated.
For the Uniform Acceleration:
Load distribution directions (DX, DY, DZ) are activated.
For the
Mode Shape and Mode Shape * Mass: The user directly enters
the mode. For this option, eigenvalue analysis must precede
pushover analysis.
Note
2
If the following
temperature loads are entered in the Load Pattern input
box, pushover analysis cannot be performed.