Section
|
|
|
|
|
|
Enter section properties for line elements (Truss, Tension-only, Compression-only, Cable, Gap, Hook, Beam Element). |
|
|
|
|
|
|
|
From the Main Menu select Properties > Section > Section Properties. |
|
|
|
|
|
Click
Select the section to be modified from the list in the Section dialog box and click
Select the section to be deleted from the list in the Section dialog box and click
Select the section to be copied from the list in the Section dialog box and click
Click Section List Selected List Note Numbering Type Keep ID New ID
Select the section property numbers to be renumbered from the list in the Properties dialog box and modify the related data followed by clicking Start number Increment Change element's material number
Section number (Auto-set to the last section number +1) Note Up to 999999 Section ID's can be assigned.
Section name (Sect. Name by default if not specified)
Display the section Offset currently set. Location of the Centroid of a section is set as default. Click
Offset: Specify the section Offset from the location options shown in the figure below. Horizontal Offset: Specify the Offset in the transverse direction. "to Extreme Fiber" assigns the offset to the outer-most point. For a specific location of Offset, select 'User"and enter the distance from the "Centroid" to the desired Offset location. Unless the Offset is "Center-Center" the Horizontal Offset can be entered as the "User" type. For a tapered (non-prismatic) section, data input for the J-end also becomes activated. Vertical Offset: Specify the Offset in the vertical direction. "to Extreme Fiber" assigns the offset to the outer-most point. For a specific location of Offset, select "User" and enter the distance from "Centroid" to the desired Offset location. Unless the Offset is "Center-Center" the Vertical Offset can be entered as the "User" type. For a tapered (non-prismatic) section, data input for the J-end also becomes activated. Note 1 When Offset distance is specified, a positive (+) sign applies to Center-to-outward for Centroid reference and Extreme-to-inward for Extreme Fiber reference.
Note 2 Node-based loads such as Nodal Loads and Specified Displacements are always applied at the nodes. However, element-based loads such as Beam Loads and Temperature Loads are applied on the center line of the element section. Please find the difference in the following example.
User Offset Reference: When section offset distance is specified as the "User" type, define the reference location. Centroid: Specify the offset distance relative to the centroid of the section. Extreme Fiber(s): Specify the offset distance relative to Left/Right & Top/Bottom. Note 3 When User type is specified, the Offset distance and direction are entered relative to Centroid irrespective of the Center option (Centroid or Center of Section). For example, specifying "Offset: Left-Center", "Center Loc.: Center of Section" and "Horizontal offset: 0.5 " User type" will result in an Offset 0.5" to the left of the Centroid. And if the Offset option is "Left-Center" and the Center option is Center of Section the User type for Horizontal offset becomes activated and the User type for Vertical offset becomes inactivated. The Horizontal offset defined as User type here becomes the Centroid, and the Vertical offset fixed to Center becomes the "Center of Section"
Note 4 When FCM Wizard is used, and "Apply the Centroid of Pier Table Section Option" is selected, the node locations of the girder will be changed as follows: Offset: Center-Top User Offset Reference: Extreme Fiber(s) Vertical Offset: User, Offset Distance (i & j) = Pier Table section height-Centroid of Pier Table section
Select whether to consider shear deformation. This option will be applicable for structural analysis, but will not affect the effective shear areas that appear by clicking
|
|
|
|
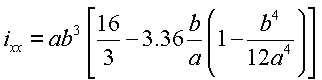
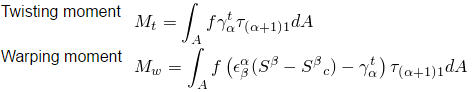
Answer: Let me first discuss the results for the section generated using the Composite Steel-I option in Civil. The torsion of such sections is calculated using a method where the section is broken down into rectangles, the torsional constant of each of them is calculated and then the torsion of the combined section is a sum of all the parts. In ‘Bridge Deck Behavior’ by E.C. Hambly we can find detailed information on this approach and how to calculate the torsional constant for a single rectangle:
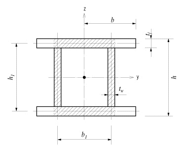
And complex sections can be divided in the following manner to be calculated as rectangles: Using this approach we can break your section into 4 parts – bottom flange, web, top flange and slab. Each of those is a thin rectangle and we can apply (2.18) to obtain the torsional constants and then combine them to get the resistance of the composite section (using a modular ratio to convert the contribution of the concrete). In case of composite girders where the slab is continuous and only part of it is effective for the composite action with the steel girder, one more consideration has to be taken into account. The normal distribution of torsion has the following pattern:
However, for continuous slabs the vertical components at the two ends of the slab are not present for the general case of intermediate girders and the torsional resistance is better approximated by:
Now using (2.18) for the beam parts and (3.15) for the slab we can carry out a manual calculation. Before composite: and after composite: Now if we look at the values provided by the software you will see these match very well.
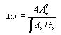
Now let’s move on to the SPC section. The first thing that needs to be pointed out is that SPC is a tool for calculation of section properties for arbitrary sections, however, as such it has to work for the general case. As I said in my previous email the way SPC calculates section properties is by performing finite element analysis applying unit loads. But when we analyse a composite beam which has a part of a continuous slab acting as flange, the software cannot take into account the reduced torsional resistance of the slab (formula 3.15) as it analyses the beam as a separate unit. So to check the results manually, we have to use (2.18) for the slab as well: Manual calculation after composite: SPC: Again, we observe a good match between the values for Ixx after composite. The only significant discrepancy is between the ‘before composite’ values. The Composite Steel – I section gives 1.00E7, while SPC gives 1.2E7. This difference is purely due to the accuracy of the approach using the formulae. After all, this is an approximate method and some inaccuracy is normal. For example, some torsional resistance is lost depending on the division of the section into rectangles as we lose resistance along the dividing lines. Hambly provides a good illustration of this:
You can easily see how splitting the section in this case reduces the value of the resistance obtained. Now that it is clear where the difference in the values is coming from, it is up to engineers to choose what approach they want to use to. As a solution for most accurate calculation I can suggest to use the SPC feature to generate the section with the exact properties and then apply a factor of 0.5 for Ixx for the slab in the Composite Section for Construction Stage definition.
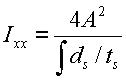
However, as I-beams have generally poor torsional performance, we can simply use the Composite Steel-I section and neglect the inaccuracy of the torsion of the I section as its contribution to the composite properties is negligible (two orders of magnitude lower than the one of the slab). However, if the structure is such that the effects of torsion before composite are important it may be reasonable to go for the more accurate solution with SPC which I suggested above. I hope this clarifies the topic and you will find this information useful. If there is anything else we could help you with, please let us know. Kind regards, MIDAS Support Answer: The difference is coming from the way torsional stiffness is calculated using approximating methods (that is, the equation option). In midas Civil the section properties are calculated using approximating simplified methods, while SPC can run an FEM analysis of the section to obtain the section properties. Before continuing with this question please read the answer to Q1. Now that it is clear how the two methods work, it is easy to see why the equation option provides much lower results. In this case, as SPC does not support curved lines, the circular parts of the section are represented by a number of straight lines. When we calculate the torsional constant using ‘equation’ the software simply applies the formula for each rectangle (line with thickness) and then sums those up. Obviously, this is incorrect as it completely ignores the connectivity of the lines and the global enclosed shape which the section has and the torsional stiffness which we get is very low. For this reason we have provided an extra function to define the correct stress flow path in such enclosed polygons so that the section properties are calculated correctly. This is done using closed loops (Model > Curve > Closed Loop > Register in SPC). Select the lines on the outer perimeter of the steel section and click apply:
Once this is defined, the torsional constant will be correctly calculated using the equation method as well:
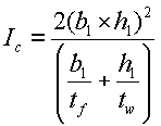
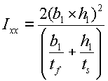
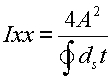
Answer: There could be two scenarios: 1) Section Properties cannot be calculated for the defined tapered section: If this is the case then there could be two possible reasons as mentioned below. 2) Section properties can be calculated but section cannot be defined: This could occur when one of the two predefined sections has zero value for some section property and the other section has non-zero value for the same section property. To define the tapered section successfully, either the section property should be zero for both the sections or non-zero. For the calculation of torsional constant of Composite Section, Hambly method is used as it is mentioned in the Q1. However, there are slight differences for the calculation of torsional constant of girder section for Composite-PSC section and Composite-Steel sections. Steel-Box : Ixx = Ixx_girder (Bredt Formula)+ Ixx_slab Steel-Tub : Ixx = Ixx_girder (Bredt Formula)+ Ixx_slab Steel-I : Ixx = Ixx_girder (General Formula)+ Ixx_slab Composite-I, T, PSC, General : Ixx = Ixx_girder(Finite Element Method) + Ixx_slab Bredt formula represents torsional constant calculation method for thin wall closed section. General Formula represents torsional constant calculation method by breaking up into thin rectangles as described in Q1. FEM is the same method which is used for the calculation of torsional constant of SPC section. These can cause inevitable differences in terms of torsional constant value in certain cases such as Tub section for the Composite-Steel and Composite-PSC. For the calculation of torsional constant before composite action, the program assumes that tub section is closed before slab concrete is hardened. During erection in practice, lateral bracings are attached to top flanges in tub girder as shown below. Top flange lateral bracing creates a quasi-closed section, which increases the torsional stiffness of tub girder sections during erection, handling, and deck casting. The top flange lateral bracing forms a quasi-closed section resisting shear flow from the non composite loading. This reflects the practice in the US. If you need to apply any different values of torsional constant, you need to use Section Stiffness Scale Factor. Figure below shows the one of the example comparing tub section Ixx and SPC calculation by modeling it as closed box. When we consider it as closed box, torsional stiffness is almost same. After composite action, the value Ixx is calculated based on the shear modulus ratio (Gs/Gc). When Es/Ec is entered from DB, Poisson's Ratios from DB are used for the calculation of Gs and Gc. When Es/Ec is inputted by the user, Poisson's Ratio is set to 0. In this case, Ixx_girder is calculated by assuming it as closed section. The torsional constant for closed section used in midas Civil can be found in the following online help. http://manual.midasuser.com/en_common/civil/845/Start/04_Model/05_Properties/Section.htm
In case of Composite-PSC, this can be problematic if the girder section is tub section. Current method of calculation of Ixx of composite section in Civil cannot recognize whether the section is closed or not. Therefore there can be discrepancy when the girder is tub section which makes the whole section as closed section after the composite action. This limitation can be solved by modifying Stiffness Scale Factor of torsional constant manually by the user. This method is also described in Q1, please refer to the Q1 for the details.
|
|
|