Prestress Beam Loads

 

 

Enter pre-stress loads for beams, or modify or delete previously entered loads. The concept of defining the pre-stress loads in beams is illustrated below.

The cable drape is located on a 2-D curve passing through 3 eccentric points. It is assumed that the eccentric points are on the beam element's local x-z plane. The tension in the cable is assumed to be uniform over the entire length of the drape.

For accurate calculation results, after dividing the beam element into four segments, the program uses the following method to calculate equivalent loads on the beam element.

1. Calculate the equation corresponding to the cable drape.

2. Calculate the slope of the cable drape at each intersection at the end of four segments and the cable drape.

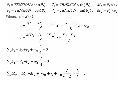
3. Shear, moment and distributed load for each segment can be calculated by the following equations:

 

(a) Beam member subject to a pre-stress load

 

 

(b) Equivalent load acting on a beam element due to a pre-stress load

<Figure 1> Concept of pre-stress load in a beam element

 

 

 

 

From the Main Menu select Load >  Temp/Prestress > Prestress Beam Loads.

 

 

Load Case Name

Assign the load case name. Click to the right to enter, additional load cases and modify or delete existing load cases.

 

Load Group Name

Select the desire Load Group that will include the entered Prestress Beam Loads data. Select "Default", if a Group assignment is unnecessary. Click to the right to add, modify or delete Load Groups.

 

Options

Add: To enter new or additional pre-stress loads for beam elements

Replace: To replace previously entered pre-stress loads for beam elements

Delete: To delete previously entered pre-stress loads for beam elements

 

Selection Type

Define the method of selecting elements to which prestress loads will be applied.

Selection: Prestress load is applied to individual elements selected.

Line (by 2 Nodes): Prestress load is applied to the elements selected by 2 nodes as a single element.

Loads

Refer to the figure under the Load Type selection field to enter the drape shape and pretension value.

Tension: Pretension Force (enter only a positive value)

Di: Cable drape in the local ± z -direction at the beam element start point (i-side N1 end)

Dm: Cable drape in local  ± z -direction at the beam element mid-point

Dj: Cable drape in local ± z -direction at the beam element end point (j-side N2 end)