Building Control Data

 

 

 

When the analysis model is a building, specify the ground level that will be referenced during the auto-generation of wind loads and equivalent static seismic loads according to the building codes. Also, specify whether to consider the entered mass components under the ground level for the eigenvalue analysis.(Refer to "Wind Load", "Static Seismic Load")

 

 

 

From the Main Menu select Model > Building > Control Data.

 

 

 

 

Building Control dialog box

 

Use Ground Level

 

Specify whether to consider the ground level during the auto-generation of the lateral forces applied to the model.

 

Ground Level
The ground level is expressed in terms of the coordinate in GCS Z-axis. The wind loads are automatically calculated for the superstructure above the Ground Level. The base shears of equivalent static seismic loads are also calculated at the Ground Level below which weight components are not considered.

 

 

Consider Mass below Ground Level for Eigenvalue Analysis

 

Specify whether to reflect the masses below the ground level in the Eigenvalue analysis.

 

If the option is not selected, the masses below the ground level are not considered.

 

 

Story Shear Force Ratio of Member

 

Specify whether or not to output distribution ratios of Story Shear Forces.

 

Note
Default has been changed from "Check Off" to "Check On".

 

 

 Consider Story Module

 

Select a way of producing story shear force.

 

Note 1

Determine how to calculate story shear force when the structure has more than 2 upper Modules. Depending on whether the option "Consider Story Module" is checked on or not, story shear force is calculated as follows:

 

1. Consider Story Module: Check Off

 

The sum of Story Shear Forces is the sum of shear forces of vertical members immediately above the relevant story. (e.g., The sum of Story Shear Forces at 5F is the sum of shear forces of vertical members crossing the line A-A`.

 

2. Consider Story Module: Check On

 

The sum of Story Shear Forces is the sum of shear forces of vertical members immediately above the relevant story within the relevant Module. (e.g., The sum of Story Shear Forces at 5F is the sum of shear forces of vertical members crossing the line B-B`.

 

Note 2

This option should be checked when analyzing a duplex building (a building with more than 2 upper Modules).

 

 

 

Eccentricity Ratio

 

Note

Please refer to Note Eccentricity Ratio in Results > Result Tables > Story > Story Eccentricity.

 

Story Center (Mass/Load)

Specify the method of calculating Story Center, which will be used to calculate Eccentricity Ratio.

 

Use Mass: Use mass distribution to find story center

 

Use Axial Force: Use the axial forces resulting from static loads (long term loads) to calculate the story center. Multiple static loads can be applied simultaneously.

 

 

 

Where,

 

:  X, Y coordinates of the center (GCS)

 

p: Axial force (for vertical columns), Vertical direction of shear force (for inclined columns)

 

X, Y: X, Y coordinates of vertical member (column head coordinates for inclined columns)

 

, : Column head moments (GCS X, Y components)

 

For moments if a cantilever exists at a building corner/end

 

 

 

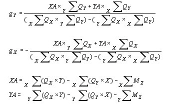
Use Shear Force: Use the shear forces resulting from static seismic loads to calculate the story center. The static seismic loads

are applied in the GCS X and Y directions. There are two methods depending on the story shear force directions.

 

 

1. If the story shear force directions are in the GCS X & Y directions

 

    

                 

 

              

                

 

 

where,

 

: Sum of all the vertical members at a corresponding story for each X-dir. seismic load and Y-dir. seismic load

 

: X, Y coordinates of the center (GCS)

 

:  X-dir. horizontal component of vertical members

 

 : Y-dir. horizontal component of vertical members

 

 : Moment about Z-dir. of vertical members

 

X, Y: X, Y coordinates of vertical member (column head coordinates for inclined columns)

 

 

 

2. If the story shear force directions are not in the GCS X & Y directions

 

Since one load case (either earthquake in X-dir. or earthquake in Y-dir.) can not determine the location of the center, the intersection of the centers of story shear forces for both load cases (X & Y-dir. earthquakes) is calculated.

 

 

            

 

 

           

 

 

Story Stiffness Center

 

Select load cases, which will be applied to calculate the story stiffness center for calculating eccentricity ratios.  Each of these load cases is assumed to be parallel with GCS X, Y axes.  The stiffness is also calculated on the basis of load cases, which are not parallel with X, Y axes in which cases a warning message is generated.

 

X-Directional Load: Select a load case, which will be used to calculate the story stiffness center relative to Y-axis.

 

Y-Directional Load: Select a load case, which will be used to calculate the story stiffness center relative to X-axis.

 

 

Story Response of Time History Results

 

Select the option to produce the story results due to time history analysis (Results > Time History Results > Story Graph > Story Displ/Vel/Accel).

 

Story Center

 

Produce the Story Displ/Vel/Accel results for Story Center using the method selected from Story Center(Mass/Load).

 

Story Average

 

Calculate the Story Displ/Vel/Accel results averaging the story results of each vertical member. This option can be used when Story Center is not calculated (Eccentricity Ratio option is not used) or when Story Diaphragm is not assigned.