| 
   
  
建物制御データダイアログボックス
 地表面のレベルを使用
モデルに作用する水平力を自動算定する時、地表面の高さを適用するかどうかを決めます。 
地表面のレベル 
地表面(Ground Level)が位置する全体座標系Z軸方向座標として、建物の風荷重及び静的地震荷重を自動計算して入力する 
場合に使用されます。したがって、この座標の上部に位置した層に対してのみ風荷重が自動考慮され、静的地震荷重を計算する時も、 
この位置を基準に層面せん断力を計算して、この座標の上部に位置した質量成分のみを建物の有効重量として考慮します。 
 固有値解析時に地表面以下の質量を考慮する
固有値解析で、地表面以下の質量の影響を解析に反映するかどうかを決めます。 
選択しない場合には、地表面以下の質量を考慮しません。また固有値解析の後の有効質量算定過程でも無視されます。 
 層せん断力分担率
部材の層せん断力分担率を出力するかどうかを決めます。 (デフォルトはチェックオン) 
  
 非剛床に風地震荷重を考慮する
風荷重と地震荷重を計算する際に剛層がない層に対しても風荷重と地震荷重を自動で計算して荷重も付加します。 
風荷重と地震荷重 
 偏心率を計算する(重心計算方法の選択)
Note
偏心率に対する説明は結果>結果テーブル>層>偏心率を参照する。
 
層中心(質量/荷重) : 偏心率の計算に使われる層中心計算方法を指定します。(下の層中心計算方法を参照) 
剛心計算用の荷重ケース : 偏心率を計算するための層剛性中心算定時に適用される荷重条件を選択します。ただし、 
この際の荷重はそれぞれ全体座標系X,Y軸に平衡していることを前提にします。X,Y軸に平衡してない荷重条件を指定した 
場合もその結果を用いて剛性を計算します。この場合は、注意メッセージなどを出力しないので注意する必要があります。 
X-方向の荷重ケース : X方向層剛性中心を算定する際に適用される荷重条件を選択 
Y-方向の荷重ケース : Y方向層剛性中心を算定する際に適用される荷重条件を選択 
 時刻歴応答解析結果の層応答
時刻歴解析結果による層別結果(結果 > 時刻歴応答解析結果 > 層せん断グラフ > 層変位/速度/加速度)の出力可否を決定します。 
層中心:静的荷重によって求められた層中心(質量/荷重)で指定した方法を用いて計算する方法 
層平均:層の鉛直部材の平均値を用いる方法で、層中心を計算しない場合(偏心率オプションを使用しない場合)や剛床が設定されて 
 いない場合に使用可能です。 
 
Note
時刻歴応答解析結果の層応答オプションのチェックの可否によって、以下で示すような下位機能のアクティブ化や非アクティブ化が決定される。
A.時刻歴応答解析結果の層応答をチェックしていない場合
               =>層中心、層平均両方とも非アクティブ          
B. 時刻歴応答解析結果の層応答をチェックした場合
              1. 偏心率がチェックされている場合
                 => 層中心、層平均両方ともアクティブ(但し、ディフォルトは層中心)
              2. 偏心率がチェックされていない場合
                => 層中心:非アクティブ、層平均:アクティブ
  
  
■ 層せん断力の出力方法 
質量を使用 : 質量分布を利用して層の重心指定 
軸力を使用 : 静的荷重(長期荷重)によって発生した軸力を利用して各層の重心を計算します。 
 この時、複数の静的荷重を同時に適用することができます。計算方法は次のようになります。 
  
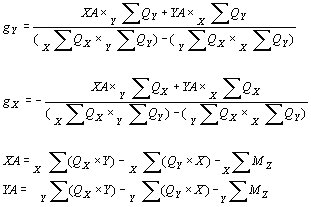
ここで、 
gX , gY : 中心のX, Y座標(全体座標系) 
P : 軸力(鉛直柱の場合)、せん断力の鉛直方向(斜め柱の場合) 
X , Y : 鉛直部材のX,Y座標(斜め柱の場合は柱頭部を基準で座標を決定) 
MX , MY : 柱頭部のモーメント(全体座標系のX,Y成分) 
建物角に大きい片持ち梁がある場合のためのモーメント 
せん断力を使用 : 静的地震荷重によって発生したせん断力を利用して各層の重心を計算します。 
 この時、静的地震荷重は全体座標系X方向とY方向に対して適用します。層せん断力方向によって次の2つの方法が有ります。 
1. 層せん断力方向が全体座標系X,Y方向の場合 
2. 層せん断力方向が全体座標系X,Y方向と一致しない場合 
 |