Fiber Element¸¦ ÀÌ¿ëÇÑ ºñź¼º ½Ã°£ÀÌ·ÂÇØ¼®À» ¼öÇàÇϱâ À§ÇØ Ã¶±Ù°ú ÄÜÅ©¸®Æ®ÀÇ Stress-Strain RelationÀ» Á¤ÀÇÇÕ´Ï´Ù. °¢ ¸ðµ¨Àº Á¦¾ÈÀÚ¿Í ½Ã¹æ±ÔÁ¤¿¡ µû¶ó Â÷À̰¡ ÀÖ½À´Ï´Ù.
Main Menu¿¡¼ Model > Properties > Inelastic Material Properties
Tree MenuÀÇ Menu ÅÇ¿¡¼ Geometry > Properties > Inelastic Material Properties
º¸¿ä¼ÒÀÇ ´Ü¸éÀ» ÀÛÀº ¼¶À¯·Î ºÐÇÒÇÏ¿© °¢ ¼¶À¯ CellÀÌ Æ¯Á¤ÇÑ Stress-Strain °ü°è¸¦ °®µµ·Ï ÇÕ´Ï´Ù.
ÆÄ¾î¹öÀç·á¿¡ ´ëÇÑ Æ¯¼ºÀ» Á¤ÀÇÇÕ´Ï´Ù.
.bmp)
Define Fiber Material Properties ´ëÈ»óÀÚ
: ÆÄÀ̹öÀç·áÀÇ ¼Ó¼ºÀ» ½Å±Ô·Î ÀÔ·ÂÇϰųª Ãß°¡ÇÕ´Ï´Ù.
: ÀÌ¹Ì ÀÔ·ÂµÈ ÆÄÀ̹öÀç·áÀÇ ¼Ó¼ºÀ» ¼öÁ¤ÇÕ´Ï´Ù.
: ÀÌ¹Ì ÀÔ·ÂµÈ ÆÄÀ̹öÀç·áÀÇ ¼Ó¼ºÀ» »èÁ¦ÇÕ´Ï´Ù.
Name : Fiber Element
Material Type : À̷¸ðµ¨À» Á¤ÀÇÇÒ Àç·á¸¦ ¼±ÅÃÇÕ´Ï´Ù.
Hysteresis Model : Fiber Element¿¡¼ »ç¿ëÇÒ ¼ö ÀÖ´Â À̷¸ðµ¨Àº ö±Ù 4°¡Áö¿Í ÄÜÅ©¸®Æ® 5°¡Áö·Î ÃÑ 9°¡ÁöÀÔ´Ï´Ù.
Skeleton Curve : °¢ ¸ðµ¨¿¡ µû¸¥ »ðµµ¸¦ Âü°íÇÏ¿© Àç·áÀÇ À̷°ŵ¿¿¡ ´ëÇÑ »À´ë°î¼±ÀÇ Æ¯¼º °ªÀ» ÀÔ·ÂÇÕ´Ï´Ù.
Concrete
Kent & Park Model
Modified Kent & Park Concrete ¸ðµ¨·Î¼ Ⱦ±¸¼Ó ö±ÙÀÇ ±¸¼ÓÈ¿°ú(Confinement Effect) µîÀ» °í·ÁÇÒ ¼ö ÀÖ½À´Ï´Ù.
Kent and Park(1973)ÀÇ ±âº» ¸ðµ¨À» Scott et al.(1982) µîÀÌ ¼öÁ¤ÇÑ ¸ðµ¨·Î¼ ±¸¼ºÀÇ ¸í·áÇÔ°ú ÇØ¼®ÀÇ Á¤È®¼ºÀ» ÃæºÐÈ÷ °®Ãá ¸ðµ¨·Î Æò°¡ ¹Þ°í ÀÖ½À´Ï´Ù.
.bmp)
|
|
: |
ÄÜÅ©¸®Æ®ÀÇ ¾ÐÃà°µµ |
|
|
|
|
|
|
: |
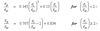
±¸¼ÓÈ¿°ú¿¡ ÀÇÇØ ¾ÐÃà°µµÀÇ Áõ°¡È¿°ú¸¦ Ç¥ÇöÇÏ´Â °è¼ö |
|
|
|
|
|
|
: |
¾ÐÃà Crushing ¹ß»ý½ÃÀÇ º¯Çü·ü |
|
|
|
|
|
|
: |
ÃÖ´ë ¾ÐÃà°µµ ¹ßÇö½ÃÀÇ º¯Çü·ü |
|
|
|
|
|
|
: |
¾ÐÃàÇ׺¹ÀÌÈÄ ÄÜÅ©¸®Æ®ÀÇ ¿¬È±¸°£ÀÇ °¼ºÀ» ³ªÅ¸³»±â À§ÇÑ °è¼ö |
|
|
|
|
Note
¾Æ·¡¿¡ Á¦½ÃµÈ Scott et al. ÀÌ Á¦¾ÈÇÑ ½ÄÀÌ ÀÖ´Ù. ±×·¯³ª ÀÌ ½ÄÀº º¸¼öÀûÀ¸·Î ÆÇ´ÜÇÑ °ªÀ̹ǷÎ
»ç¿ëÀÚ°¡ ÀûÀýÈ÷ ÆÇ´ÜÇÏ¿© ÀÓÀÇÀÇ °ªÀ» ÀÔ·ÂÇÏ¿©µµ ¹«¹æÇÏ´Ù.

º» ¸ðµ¨¿¡¼´Â ºÎÀç Àü¹Ý¿¡ °ÉÄ£ ±× ¿µÇâÀÌ Àû±â ¶§¹®¿¡ ÄÜÅ©¸®Æ®ÀÇ ÀÎÀå°µµ´Â ¹«½ÃÇϰí ÀÖ½À´Ï´Ù.
º» ¸ðµ¨ÀÇ À̷ Ư¼ºÀ» ÀÚ¼¼È÷ Á¤¸®ÇØ º¸¸é ´ÙÀ½°ú °°½À´Ï´Ù.
a. ¾ÐÃà»óÅ¿¡¼ unloadingÀÌ ¹ß»ýÇÑ °æ¿ì unloadingÀÌ ¹ß»ýÇϱ⠽ÃÀÛÇÑ º¯Çü·ü °ú º¯Çü·ü Ãà»óÀÇ ÇÑ Á¡ ¸¦ ÀÕ´Â Á÷¼±»ó¿¡¼ °Åµ¿À» ÇÑ´Ù°í º¾´Ï´Ù. ÀÌ Á÷¼±ÀÇ ±â¿ï±â´Â ¾ÐÃàÁ¤µµ°¡ ½ÉÇØÁú¼ö·Ï ÀÛ¾ÆÁö¸ç ±× ±¸Çö ½ÄÀº ¾Æ·¡¿Í °°½À´Ï´Ù.


b. º» ¸ðµ¨¿¡¼´Â ÀÎÀå°µµ¸¦ ¹«½ÃÇϰí Àֱ⠶§¹®¿¡, ¿ÏÀüÁ¦ÇÏ(Complete Unloading or Open Crack) »óÅ¿¡¼´Â ÀÀ·ÂÀ» 0 À¸·Î º¾´Ï´Ù.(À§ ±×¸² ÂüÁ¶)
c. ÀçÀçÇÏ(reloading) »óÅ¿¡¼´Â ¥åp¿¡ µµ´ÞÇϱâ ÀÌÀü±îÁö´Â ÀÀ·ÂÀ» 0À¸·Î º¾´Ï´Ù. ÀÏ´Ü ¥åpº¸´Ù Å« ¾ÐÃà º¯Çü·üÀÌ ¹ß»ýÇÏ¸é ¾Õ¼ unloading½ÃÀÇ Á÷¼±»óÀ¸·Î ÀçÀçÇϰ¡ ÁøÇàµÈ´Ù°í º¾´Ï´Ù. ½ÇÁ¦ÀûÀ¸·Î´Â ÀÌ·¸°Ô Á÷¼±»óÀ¸·Î Á¦ÇÏ(Unloading)°ú ÀçÀçÇÏ(Reloading)°¡ ¹ß»ýÇÏÁö ¾Ê°í ºñ¼±ÇüÀûÀÎ ±¥ÀûÀ» µû¶ó °Åµ¿ÇÕ´Ï´Ù. ±×·¯³ª ±×·¯ÇÑ ºñ¼±ÇüÀû °Åµ¿ÀÇ ¿µÇâÀÌ Å©Áö ¾ÊÀ» »Ó¸¸ ¾Æ´Ï¶ó, ÇØ¼®»óÀÇ È¿À²¼º°ú Á¤È®¼ºÀ» °í·ÁÇÒ ¶§ º» ¸ðµ¨°ú °°ÀÌ Á÷¼± ±¥ÀûÀ» µû¶ó Á¦ÇÏ(Unloading)¿Í ÀçÀçÇÏ(Reloading)°¡ ¹ß»ýÇÑ´Ù°í º¸´Â °Íµµ ÃæºÐÇÏ´Ù°í ¾Ë·ÁÁ® ÀÖ½À´Ï´Ù.
¾ÐÃà°µµ¸¦ ÃʰúÇÑ ÀÌÈÄ ¿¬È±¸°£¿¡¼ÀÇ °¼ºÀ¸·Î ½ÇÁ¦ ÀÌ·ÂÀÇ ±â¿ï±âÀÎ E=K fc Z ¸¦ »ç¿ëÇÏ´Â ¹æ½Äµµ ÀÖÁö¸¸, ÀÌ °ªÀº À½¼öÀ̱⠶§¹®¿¡ ±ØÇÑ»óÅ¿¡¼ ¼ö·Å È¿À²¼ºÀ» ¶³¾î¶ß¸±¼ö ÀÖ½À´Ï´Ù. µû¶ó¼ E=1.d-15 À¸·Î ¼³Á¤µÇ¾î ÀÖ½À´Ï´Ù.
Japan Concrete Standard Specification
Model
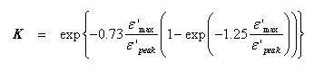
ÀϺ» ÄÜÅ©¸®Æ® Ç¥ÁØ½Ã¹æ¼ [³»Áø¼º´É ´ëÁ¶Á¶»çÆí, p23]ÀÇ ¸ðµ¨·Î¼ ÃÖ´ë ÀÀ·ÂÁ¡À» ³ÑÀº ¿¬È¿µ¿ª°ú ÀÜ·ù¼Ò¼ºº¯Çü, Á¦ÇÏÀçÀçÇϽÃÀÇ °¼ºÀúÇÏÈ¿°ú¸¦ ¹Ý¿µÇϰí ÀÖ½À´Ï´Ù.
.bmp)
fc' : ÄÜÅ©¸®Æ®ÀÇ ÃÖ´ë¾ÐÃà°µµ
¥å'_peak : ÃÖ´ë¾ÐÃà°µµ ¹ßÇö½ÃÀÇ º¯Çü·ü
º» ÀÌ·Â ¸ðµ¨ÀÇ Stress-Strain °ü°è´Â ´ÙÀ½°ú °°½À´Ï´Ù.

¿©±â¼,



º» ¸ðµ¨¿¡¼ K´Â ź¼º °¼º ÀÜÁ¸À²À» ÀǹÌÇÕ´Ï´Ù. ¾ÐÃà º¯Çü·üÀÌ Ä¿Áú¼ö·Ï Á¦ÇÏ(unloading)½ÃÀÇ ±â¿ï±â°¡ °¨¼ÒÇÏ°Ô µÇ´Â Çö»óÀ» ¸ð»çÇϱâ À§ÇÑ °ªÀÔ´Ï´Ù.
ÀϹÝÀûÀÎ º¸ ºÎÀçÀÇ °æ¿ì ÀÎÀå°µµ´Â ¹«½ÃÇϵµ·Ï Á¦¾ÈÇϰí ÀÖ½À´Ï´Ù. »ó±â ÀÌ·Â ±ÔÄ¢¿¡ ÀÇÇÑ °Åµ¿Æ¯¼ºÀ» ³ªÅ¸³» º¸¸é ¾Æ·¡ ±×¸²°ú °°½À´Ï´Ù.

Âü°íÀûÀ¸·Î ÀϺ» ÄÜÅ©¸®Æ® Ç¥Áؽù漿¡ ÀÇÇÑ ÄÜÅ©¸®Æ® ¸ðµ¨À» »ç¿ëÇÏ¿© ±¸Á¶¹°ÀÇ ±ØÇÑ °Åµ¿À» Æò°¡ÇÒ ¶§ »ó±â °¼º Àú°¨·ü °ªÀ» ±âÁØÀ¸·Î »óŸ¦ Á¶»çÇÏ´Â ¹æ½ÄÀÌ ÀÖ½À´Ï´Ù.
¾ÐÃà º¯Çü·üÀÌ Ä¿Áú¼ö·Ï ÀçÇϽà °¼º Àú°¨·üÀÌ ÀÛ¾ÆÁö´Â °ÍÀ» È®ÀÎÇÏ¿© ºÎÀçÀÇ ÆÄ±« Á¤µµ¸¦ ÆÇ´ÜÇÏ´Â ±âÁØÀÔ´Ï´Ù. ÇöÀç MIDAS ÇÁ·Î±×·¥ ¿¡¼´Â ÀÌ ±âÁØ¿¡ ±Ù°ÅÇÑ Á¶»ç ¹æ½Äµµ ±¸ÇöÇϰí ÀÖ½À´Ï´Ù.
(Section Damage Check with Fiber Element ±â´É ÂüÁ¶)
Japan Roadway Specification
Model
ÀϺ» µµ·Î±³½Ã¹æ¼. µ¿Çؼ³, V ³»Áø¼³°èÆí [ö±Ù±¸¼ÓÄÜÅ©¸®Æ®, p.161]ÀÇ ¸ðµ¨ÀÔ´Ï´Ù.
ÁöÁøµ¿(ò¢òèÔÑ) Á¾·ù¿¡ µû¶ó ÀÀ·Â-º¯Çü·ü °ü°è°¡ º¯°æµË´Ï´Ù. º» ¸ðµ¨Àº ÁöÁøµ¿°ú ±¸¼Óö±Ù¿¡ ÀÇÇÑ ¿µÇâ, ´Ü¸é Çü»ó µîÀÇ ¿µÇâÀ» °í·ç ¹Ý¿µÇϰí ÀÖ½À´Ï´Ù.
.bmp)
Type I ¼±Åýà Type II ¼±ÅýÃ
Earthquake Type I : ±ØÇÑ º¯Çü·ü°ú ÃÖ´ë ¾ÐÃà°µµ½ÃÀÇ º¯Çü·üÀÌ °°°Ô µÇ¾î Çϰ±¸¹è(Edes) ±¸°£À» °®Áö ¾Ê½À´Ï´Ù. Áï ¾ÐÃຯÇü·üÀÌ ÃÖ´ë ¾ÐÃà°µµ¿¡ µµ´ÞÇÏ°Ô µÇ¸é Áï½Ã CrushingÀÌ ¹ß»ýÇÑ´Ù°í º¾´Ï´Ù.
Earthquake Type II : ±ØÇÑ º¯Çü·üÀ» ½Ã¹æ±ÔÁ¤½Ä¿¡ ÀÇÇØ »êÁ¤Çϸç, Çϰ±¸¹è(Edes) ±¸°£À» °®°Ô µË´Ï´Ù.
Ec : ÄÜÅ©¸®Æ® Young's Modulus
¥ò_ck : ÄÜÅ©¸®Æ®ÀÇ ¼³°è±âÁذµµ
¥ò_sy : Ⱦ±¸¼Ó ö±ÙÀÇ Ç׺¹Á¡
¥á, ¥â : ´Ü¸é º¸Á¤ °è¼ö
Note
¿øÇü´Ü¸éÀÇ °æ¿ì¿¡´Â ¥á=1.0, ¥â=1.0
»ç´Ù¸®²Ã´Ü¸é, Áß°ø ¿øÇü´Ü¸é ¹× Áß°ø »ç´Ù¸®²Ã´Ü¸é¿¡¼´Â ¥á=0.2, ¥â=0.4
A_h : Ⱦ±¸¼Ó ö±Ù ÇѰ³ ´çÀÇ ´Ü¸éÀû
s : Ⱦ±¸¼ÓÀÇ °£°Ý
d : Ⱦ±¸¼ÓÀÇ ±¸¼ÓÀåÀ¸·Î, ¶ìö±ÙÀ̳ª Áß°£ ¶ìö±Ù¿¡ ÀÇÇØ ºÐÇÒ±¸¼ÓµÈ ³»ºÎ ÄÜÅ©¸®Æ®ÀÇ º¯ ±æÀÌ Áß °¡Àå ±ä °ªÀ¸·Î ÇÑ´Ù.
¥ò_bt : ÄÜÅ©¸®Æ®ÀÇ ÀÎÀå°µµ
¥ò_cc : Ⱦ±¸¼Ó ö±ÙÀ¸·Î ±¸¼ÓµÈ ÄÜÅ©¸®Æ®ÀÇ °µµ
ÇÑÆí Ⱦ±¸¼Ó ö±ÙÀÇ Ã¼Àûºñ¸¦ ÀǹÌÇÏ´Â ¥Ñs ´Â 0.018 ÀÌÇϰ¡ µÇµµ·Ï ±âÁØ¿¡¼ Á¦½ÃÇϰí ÀÖ½À´Ï´Ù.
º» ¸ðµ¨ÀÇ Stress-Strain °ü°è´Â ´ÙÀ½°ú °°½À´Ï´Ù.

¿©±â¼, 
Á¦ÇÏ(Unloading)¿Í ÀçÀçÇÏ(Reloading)ÀÇ °æ¿ì¿¡´Â ź¼º °¼ºÀ¸·Î °Åµ¿ÇÑ´Ù°í º¾´Ï´Ù. (¾Æ·¡ ±×¸² ÂüÁ¶)

¾ÐÃà°µµ¸¦ ÃʰúÇÑ ÀÌÈÄ Çϰ±¸°£¿¡¼ÀÇ °¼ºÀ¸·Î ½ÇÁ¦ ÀÌ·ÂÀÇ ±â¿ï±âÀÎ E=-Edes ¸¦ »ç¿ëÇÏ´Â ¹æ½ÄÀÌ ÀÖ½À´Ï´Ù. ±×·¯³ª ÀÌ °ªÀº À½¼ö¿©¼ ±ØÇÑ»óÅ¿¡¼ ¼ö·Å È¿À²¼ºÀ» ¶³¾î¶ß¸±¼ö Àֱ⠶§¹®¿¡ E=1.d-15 À¸·Î ¼³Á¤µÇ¾ú½À´Ï´Ù.
Nagoya Highway Corporation
Model
³ª°í¾ß °í¼Ó°ø»ç(¸í°í»ç, Ù£ÍÔÞä)ÀÇ ¸ðµ¨·Î¼ [ÄÜÅ©¸®Æ®¸¦ ºÎºÐÀûÀ¸·Î ÃæÀüÇÑ °¼º ±³°¢ÀÇ ³»Áø¼º´É ´ëÁ¶Á¶»ç¿ä·®(¾È) p.7]ÀÇ ¸ðµ¨ÀÔ´Ï´Ù.
.bmp)
¥ò_ck : ÄÜÅ©¸®Æ®ÀÇ ¾ÐÃà°µµ
¥å_cc : ÄÜÅ©¸®Æ®ÀÇ ¾ÐÃà°µµ µµ´Þ½ÃÀÇ º¯Çü·ü
K : ¾ÐÃà°µµ Áõ°¡¸¦ ¹Ý¿µÇϱâ À§ÇÑ °è¼ö
¥å_cu : ÄÜÅ©¸®Æ®ÀÇ ±ØÇÑ ¾ÐÃà º¯Çü·ü
¥å_t0 : ÄÜÅ©¸®Æ®ÀÇ ÃÖ´ë ÀÎÀå°µµ ¹ßÇö½ÃÀÇ º¯Çü·ü
¥å_t1 : ÄÜÅ©¸®Æ®ÀÇ ÀÎÀåÆÄ±« ¹ß»ý½ÃÀÇ º¯Çü·ü
¥å_tu : ÄÜÅ©¸®Æ®ÀÇ ±ØÇÑ ÀÎÀå º¯Çü·ü
º» ¸ðµ¨¿¡¼´Â ±×¸²¿¡ ³ªÅ¸³ ¹Ù¿Í °°ÀÌ ¾ÐÃຯÇü·üÀÌ ±ØÇÑ ¾ÐÃà º¯Çü·ü ¥åcu¿¡ µµ´ÞÇÒ ¶§ ±îÁö´Â ÀÏÁ¤ÇÑ ÃÖ´ë ÀÀ·ÂÀ» º¸ÀÌ´Ù°¡ º¯Çü·üÀÌ ¥åcuÀ» Ãʰú ÇÏ°Ô µÇ¸é CrushingÀÌ ¹ß»ýÇÑ´Ù°í º¾´Ï´Ù.
ÇÑÆí Á¦ÇÏ(Unloading) ÀçÀçÇÏ(Reloading) ½Ã¿¡´Â ź¼º °¼ºÀ¸·Î °Åµ¿ÇÑ´Ù°í º¾´Ï´Ù. ½ÇÁ¦ ½Ã¹æ ±ÔÁ¤¿¡¼´Â ÀÎÀå°µµ¿¡ ´ëÇÑ Á¦¾ÈÀÌ ¾øÀ¸³ª ¹ü¿ë¼ºÀ» °®Ãß±â À§ÇØ »ç¿ëÀÚÀÇ ÆÇ´Ü¿¡ µû¶ó ÀûÀýÇÑ ÀÎÀå°µµ¸¦ ÀÔ·ÂÇÒ ¼ö ÀÖµµ·Ï ±¸ÇöµÇ¾î ÀÖ½À´Ï´Ù. (¾Æ·¡ ±×¸² ÂüÁ¶)

ÀÎÀå°µµ¸¦ ÃʰúÇÑ ÀÌÈÄ Çϰ±¸°£¿¡¼ÀÇ °¼ºÀ¸·Î ½ÇÁ¦ ÀÌ·ÂÀÇ ±â¿ï±â¸¦ »ç¿ëÇÏ´Â ¹æ½ÄÀÌ ÀÖ½À´Ï´Ù. ±×·¯³ª ÀÌ °ªÀº À½¼ö¿©¼ ±ØÇÑ»óÅ¿¡¼ ¼ö·Å È¿À²¼ºÀ» ¶³¾î¶ß¸±¼ö Àֱ⠶§¹®¿¡ E=1.d-15 À¸·Î ¼³Á¤µÇ¾ú½À´Ï´Ù.
Trilinear Concrete Model
ÀÎÀåºÎ¿Í ¾ÐÃàºÎ ¸ðµÎ¸¦ Á¤ÀÇÇÒ ¼ö ÀÖ´Â ¸ðµ¨À̸ç, ¾ÐÃàºÎ´Â 3¼±Çü ÀÌ·ÂÀ» °¡Áý´Ï´Ù. 3¼±Çü ÀÌ·ÂÀ» Á¤ÀÇÇϱâ À§ÇØ ÀÀ·Â-º¯Çü·ü·Î ÀÔ·ÂÇÏ´Â ¹æ½Ä°ú ÀÀ·Â-°¼º Àú°¨·ü·Î ÀÔ·ÂÇÏ´Â ¹æ½Ä µÎ°¡Áö Çü½ÄÀÌ ÀÖ½À´Ï´Ù.
.bmp)
ÀÀ·Â-º¯Çü·ü Á¤Àǹæ½Ä ÀÀ·Â-°¼ºÀú°¨·ü Á¤Àǹæ½Ä
¥ò_c1 : ÄÜÅ©¸®Æ®ÀÇ 1Â÷ ¾ÐÃàÇ׺¹ °µµ
¥ò_c2 : ÄÜÅ©¸®Æ®ÀÇ 2Â÷ ¾ÐÃàÇ׺¹ °µµ
¥ò_c3 : ÄÜÅ©¸®Æ®ÀÇ 2Â÷ ¾ÐÃàÇ׺¹ÀÌÈÄÀÇ °µµ (K3 »êÁ¤½Ã ÇÊ¿ä)
¥å : ÄÜÅ©¸®Æ®ÀÇ ÃÖ´ë ÀÎÀå°µµ ¹ßÇö½ÃÀÇ º¯Çü·ü
¥å_t1 : ÄÜÅ©¸®Æ®ÀÇ ÀÎÀåÆÄ±« ¹ß»ý½ÃÀÇ º¯Çü·ü
¥å_tu : ÄÜÅ©¸®Æ®ÀÇ ±ØÇÑ ÀÎÀå º¯Çü·ü
¥å_c1 : ÄÜÅ©¸®Æ®ÀÇ 1Â÷ ¾ÐÃàÇ׺¹ º¯Çü·ü
¥å_c2 : ÄÜÅ©¸®Æ®ÀÇ 2Â÷ ¾ÐÃàÇ׺¹ º¯Çü·ü
¥å_c3 : ÄÜÅ©¸®Æ®ÀÇ 2Â÷ ¾ÐÃàÇ׺¹ÀÌÈÄÀÇ º¯Çü·ü (K3 »êÁ¤½Ã ÇÊ¿ä)
¥å_cu : ÄÜÅ©¸®Æ®ÀÇ 3Â÷ ¾ÐÃàÇ׺¹ º¯Çü·ü
K1 : ÄÜÅ©¸®Æ®ÀÇ Ãʱⰼº
K2/K1 : ÄÜÅ©¸®Æ®ÀÇ 1Â÷Ç׺¹ÈÄÀÇ °¼º°ú ÃʱⰼºÀÇ ºñ
K3/K1 : ÄÜÄÚ¸®Æ®ÀÇ 2Â÷Ç׺¹ÈÄÀÇ °¼º°ú ÃʱⰼºÀÇ ºñ
¥å_cu : ÄÜÅ©¸®Æ®ÀÇ 3Â÷ ¾ÐÃàÇ׺¹ º¯Çü·ü
ÀÎÀå°µµ¸¦ ÃʰúÇÑ ÀÌÈÄ Çϰ±¸°£¿¡¼ÀÇ °¼ºÀ¸·Î ½ÇÁ¦ ÀÌ·ÂÀÇ ±â¿ï±â¸¦ »ç¿ëÇÏ´Â ¹æ½ÄÀÌ ÀÖ½À´Ï´Ù. ±×·¯³ª ÀÌ °ªÀº À½¼ö¿©¼ ±ØÇÑ»óÅ¿¡¼ ¼ö·Å È¿À²¼ºÀ» ¶³¾î¶ß¸±¼ö Àֱ⠶§¹®¿¡ E=1.d-15 À¸·Î ¼³Á¤ÇÏ¿´½À´Ï´Ù.
Note
'¥ò - ¥å' ÀԷ¹æ½ÄÀ¸·Î ¥å_c1~¥å_c3¸¦ ÀÔ·ÂÇÑ »óÅ¿¡¼, '¥ò - ¥á' ÀԷ¹æ½ÄÀ» ¼±ÅÃÇϸé ÀÚµ¿À¸·Î °¼º K1, K2/K1,
K3/K1µéÀ» °è»êÇØ ÁÝ´Ï´Ù. ±× ¿ª ¶ÇÇÑ ÀÚµ¿À¸·Î °è»êµË´Ï´Ù.
Mander Model
Ư¡
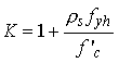
Ⱦ±¸¼Óö±Ù¿¡ ÀÇÇØ ±¸¼ÓµÈ ¾ÐÃàÄÜÅ©¸®Æ®¿¡ ´ëÇØ Mander(1988) °¡ Á¦¾ÈÇÑ ¸ðµ¨ÀÔ´Ï´Ù. Ⱦ±¸¼Óö±ÙÀº ÄÜÅ©¸®Æ®ÀÇ ±¸¼ÓÈ¿°ú »Ó¸¸ ¾Æ´Ï¶ó, ÁÖ±ÙÀÇ Á±¼À» ¹æÁöÇϰí Àü´ÜÆÄ±«¸¦ ¹æÁöÇÏ´Â ¿ªÇÒÀ» ÇÕ´Ï´Ù. Ⱦ±¸¼Óö±Ù¿¡ ÀÇÇØ ±¸¼ÓµÈ ¾ÐÃàÄÜÅ©¸®Æ®´Â Ⱦ±¸¼Ó È¿°ú¿¡ ÀÇÇØ¼ °µµ¿Í ¿¬¼ºÀ» Å©°Ô Áõ°¡½ÃŰ´Â È¿°ú°¡ ÀÖ½À´Ï´Ù.
Mander¸ðµ¨Àº ±¸¼ÓµÈ ¾ÐÃàÄÜÅ©¸®Æ®ÀÇ ÀÀ·Âµµ-º¯Çüµµ °ü°è¸¦ Á¦¾ÈÇÑ ¸ðµ¨·Î, ÄÜÅ©¸®Æ®ÀÇ ´Ü¸éÇü»ó¿¡ °ü°è¾øÀÌ Àû¿ëÇÒ ¼ö ÀÖ´Â ÀåÁ¡ÀÌ ÀÖ½À´Ï´Ù. ¶ÇÇÑ, Á¾¹æÇâ ö±Ù ¹× ±¸¼Óö±ÙÀÇ ¾ç, ±¸¼Óö±ÙÀÇ Ç׺¹°µµ¿Í ¹è±ÙÇüÅ µîÀ» °í·ÁÇÏ¿© ÄÜÅ©¸®Æ®ÀÇ ±¸¼Ó·ÂÀÎ À¯È¿±¸¼ÓÀÀ·ÂÀ» »êÁ¤ÇÒ ¼ö ÀÖ½À´Ï´Ù.
Mander¸ðµ¨Àº Popovic(1973)ÀÌ Á¦¾ÈÇÑ 1Ãà ÀÀ·Âµµ-º¯Çüµµ °ü°è¸¦ »ç¿ëÇϰí ÀÖÁö¸¸, ´ÙÃàÀÇ È¿°ú¸¦ °í·ÁÇÑ À¯È¿±¸¼Ó·ÂÀ» µî°¡ÀÇ 1Ãà ÀÀ·Â-º¯Çü·ü °ü°è·Î ȯ¿øÇÏ´Â ±â¹ýÀ» ÃëÇϰí ÀÖ½À´Ï´Ù.
Á¦ÇÑ»çÇ×
Mander ModelÀº ÄÜÅ©¸®Æ®ÀÇ ´Ü¸éÇü»ó¿¡ °ü°è¾øÀÌ Àû¿ë°¡´ÉÇÕ´Ï´Ù. ´Ü, Material Data°ú Section DataÀÇ Import¿¡ ÀÇÇÑ °µµÀÚµ¿»êÁ¤Àº ¿øÇü, »ç°¢Çü ´Ü¸é¸¸ Áö¿øÇϸç, ¿øÇü, »ç°¢Çü ´Ü¸é ÀÌ¿ÜÀÇ ´Ü¸é¿¡ ´ëÇØ¼´Â °µµÀÚµ¿°è»ê¿¡ ÇÊ¿äÇÑ Á¤º¸¸¦ »ç¿ëÀÚ°¡ ÀÔ·ÂÇϸé ÀÚµ¿°è»ê¿¡ ÀÇÇÑ °µµ¸¦ ¾òÀ» ¼ö ÀÖ½À´Ï´Ù.
.gif)
Concrete Type
Unconfined Concrete : Cover ÄÜÅ©¸®Æ®¸¦ Á¤ÀÇÇÒ ¶§ »ç¿ëÇÕ´Ï´Ù. ´Ü¸éÀÇ È¾±¸¼Ó È¿°ú¸¦ °í·ÁÇÏÁö ¾ÊÀ¸¸ç, Ⱦ±¸¼Ó¿¡ °ü·ÃµÈ »çÇ×µéÀº ºñȰ¼ºÈ µË´Ï´Ù.
Confined Concrete : Ⱦ±¸¼Óö±Ù¿¡ ÀÇÇØ ±¸¼ÓµÈ CoreÄÜÅ©¸®Æ®¸¦ Á¤ÀÇÇÒ ¶§ »ç¿ëÇÕ´Ï´Ù. ´Ü¸éÀÇ È¾±¸¼Ó È¿°ú¸¦ °í·ÁÇÕ´Ï´Ù.
Unconfined Concrete Data
|
|
fco': ±¸¼ÓµÇÁö ¾ÊÀº ÄÜÅ©¸®Æ®ÀÇ ¾ÐÃà°µµ¸¦ ÀÔ·ÂÇÕ´Ï´Ù. Á÷Á¢ ÀÔ·ÂÇÒ °æ¿ì¿¡´Â üũ¹öưÀ» ¼±ÅÃÇÏ¿© ÀÔ·ÂÇÕ´Ï´Ù. eco : fco'¿¡ ´ëÀÀÇÏ´Â ÄÜÅ©¸®Æ®ÀÇ º¯ÇüÀ²À» ÀÔ·ÂÇÕ´Ï´Ù. Á÷Á¢ÀÔ·ÂÇÒ °æ¿ì¿¡´Â üũ¹öưÀ» ¼±ÅÃÇÏ¿© ÀÔ·ÂÇÕ´Ï´Ù. Ec : ÄÜÅ©¸®Æ®ÀÇ Åº¼º°è¼ö¸¦ ÀÔ·ÂÇÕ´Ï´Ù. Mander ¸ðµ¨ÀÇ °æ¿ì´Â ³»ºÎÀûÀ¸·Î °è»êÀÌ µÇ°í User inputÀÇ °æ¿ì¿¡´Â Á÷Á¢ °í·ÁÇÒ ¼ö ÀÖ½À´Ï´Ù. Ft': ÄÜÅ©¸®Æ®ÀÇ ÀÎÀå°µµ¸¦ ÀÔ·ÂÇÕ´Ï´Ù. ÀÎÀå°µµ¸¦ Á÷Á¢ ÀÔ·ÂÇϰųª (User input) ¹«½Ã (Neglect Tensile strength) ÇÒ ¼ö ÀÖ½À´Ï´Ù. Et: ÀÎÀå°µµ¿¡ µû¶ó ÀÚµ¿°è»êµË´Ï´Ù. |
Section & Confinement Rebar Type : Confined Concrete ·Î Á¤ÀÇÇÑ °æ¿ì Ȱ¼ºÈ µÇ°í ´Ü¸é°ú Ⱦ±¸¼Óö±ÙÀÇ Çü»óÀ» Á¤ÀÇÇÕ´Ï´Ù. ´Ü¸é Çü»óÁ¤º¸¿¡ µû¶ó ¾Æ·¡ÀÇ À¯È¿±¸¼Ó°è¼ö(Confinement Effective Coefficient, Ke)³ª À¯È¿È¾¹æÇⱸ¼ÓÀÀ·Â ( fl,flx fly)ÀÇ °ªÀÌ ÀÚµ¿°è»êÀÌ µÇ°í Á÷Á¢ ÀÔ·ÂÇÒ ¼öµµ ÀÖ½À´Ï´Ù.
: ±¸¼Ó´Ü¸éÀÇ
Å©±â¿Í Ⱦ±¸¼Óö±ÙÀÇ °£°Ý µîÀ» ÀÔ·ÂÇÕ´Ï´Ù.
: ´Ü¸éÀÇ
ÁÖö±Ù°ú Ⱦ¹æÇâ ±¸¼Óö±ÙÀÇ Ã¶±Ù¸éÀû¿¡ ÇÊ¿äÇÑ Á¤º¸¸¦ ÀÔ·ÂÇÕ´Ï´Ù.
Confinement Effective Coefficient, Ke : ´Ü¸éÇü»ó, Á¾¹æÇâ ö±Ù ¹× ±¸¼Óö±ÙÀÇ ¾ç, ¹è±ÙÇüÅ µîÀ» °í·ÁÇÏ¿© ¼±Á¤ÇÑ ÄÜÅ©¸®Æ®ÀÇ À¯È¿±¸¼Ó°è¼ö
The Effective Lateral Confining Stress on the Concrete
flx : x¹æÇâÀÇ À¯È¿±¸¼ÓÀÀ·Â
fly : y¹æÇâÀÇ À¯È¿±¸¼ÓÀÀ·Â
fl : ´ÙÃàÀÇ À¯È¿±¸¼ÓÀÀ·ÂÀ» 1ÃàÀ¸·Î ȯ¿øÇÑ À¯È¿±¸¼ÓÀÀ·Â
Confined Concrete Strength & Strain : Ⱦ±¸¼ÓÈ¿°ú¸¦ °í·ÁÇÑ ¾ÐÃàÄÜÅ©¸®Æ® °µµ¿Í º¯Çü·ü
Steel
Menegotto-Pinto Model
Menegotto and PintoÀÇ Steel¸ðµ¨À» FilippouµîÀÌ ¼öÁ¤ÇÑ ¸ðµ¨·Î¼ ÇØ¼® È¿À²¼ºµµ ¶Ù¾î³ª¸ç ½ÇÇèÀû °Åµ¿°úµµ ³ôÀº Á¤È®¼ºÀ» °¡Áö´Â ¸ðµ¨·Î ¾Ë·ÁÁ® ÀÖ½À´Ï´Ù.
.bmp)
f_y : ö±ÙÀÇ Ç׺¹°µµ
E : ö±ÙÀÇ Ãʱⰼº
b : Ç׺¹ ÈÄ Ã¶±ÙÀÇ °¼º°ú ÃʱⰼºÀÇ ºñ
R0, a1, a2 : Ç׺¹ ÈÄ Ã¶±ÙÀÇ ÀÀ·Â-º¯Çü·ü °î¼±°Åµ¿ÇüŸ¦ Á¤ÀÇÇÏ´Â »ó¼ö
º» ¸ðµ¨ÀÇ ÀÚ¼¼ÇÑ Stress-Strain À̷¸𵨿¡ ´ëÇÑ ¼³¸íÀº ´ÙÀ½°ú °°½À´Ï´Ù.

À§ °ü°è½ÄÀ» ÅëÇØ Ç׺¹ÀÌÈÄÀÇ À̷°ŵ¿¿¡¼ ź¼º°ú Ç׺¹±¸°£À» ÀüÀÌÇÒ ¶§ °î¼±ÇüŸ¦ ±¸ÇöÇϰí ÀÖ½À´Ï´Ù.
¿©±â¼ ¥ò'¿Í ¥å' ´Â Á¤±ÔÈ(Normalized)µÈ °ªµéÀÌ¸ç °¢°¢ ´ÙÀ½ÀÇ ¼ö½ÄÀ» ÅëÇØ °è»êµË´Ï´Ù.

º» ¸ðµ¨Àº ¾Æ·¡ ±×¸²¿¡¼¿Í °°ÀÌ µÎ °³ÀÇ Á¡±Ù¼±À» °¡Áö°Ô µË´Ï´Ù. Çϳª´Â ź¼º°¼ºÀ» ±â¿ï±â·Î °¡Áö´Â Á÷¼±ÀÌ°í ´Ù¸¥ Çϳª´Â Ç׺¹ÀÌÈݼºÀ» °¡Áö´Â Á÷¼±ÀÔ´Ï´Ù.µÎ Á÷¼±ÀÇ ±³Á¡À» ÀǹÌÇÏ´Â °ÍÀÌ (¥å0,¥ò0) ÀÔ´Ï´Ù. (¥år,¥òr)Àº ¸¶Áö¸·À¸·Î Á¦ÇÏ(Unloading)ÀÌ ¹ß»ýÇßÀ» ¶§ÀÇ À§Ä¡¸¦ ÀǹÌÇÕ´Ï´Ù. ÀÌ °ªµéÀº Á¦ÇÏ, ÀçÀçÇϽà °è¼ÓÇØ¼ °»½ÅµÇ¾î ÀüÀ̰Çü¼º¿¡ ¿µÇâÀ» ÁÝ´Ï´Ù.

RÀº ÀüÀ̰ÀÇ ¸ð¾ç¿¡ ¿µÇâÀ» ÁÖ´Â °ªÀ̸ç Bauschinger effect¸¦ ¹Ý¿µÇÏ´Â ¿ªÇÒÀ» ÇÕ´Ï´Ù. R°ªÀÇ °áÁ¤À» À§ÇØ ´ÙÀ½ÀÇ ½ÄÀÌ Á¦¾ÈµÇ¾î ÀÖ½À´Ï´Ù.

°è¼ö a1,a2,R0´Â ½ÇÇèÀ¸·ÎºÎÅÍ ¾òÀº ÀÌ·Â °á°ú¿¡¼ ±¸Çϸç MIDAS¿¡¼´Â ¿ø¹®Çå(Menegotto and Pinto,1973)¿¡¼ »ç¿ëµÈ °ªÀÎ 18.5, 0.15, 20 À» °¢°¢ÀÇ ±âº» °ªÀ¸·Î »ç¿ëÇϰí ÀÖ½À´Ï´Ù.
¥î´Â Á¤±ÔÈµÈ º¯Çü·ü Ãà»ó¿¡¼ µÎ Á¡±Ù¼±°ú Á¦ÇÏ ¹ß»ý À§Ä¡»çÀÌÀÇ °Å¸®¸¦ ÀǹÌÇÏ´Â °ªÀ¸·Î¼ Á¦ÇÏ(Unloading) ¹ß»ý½Ã¸¶´Ù »õ·Ó°Ô °»½ÅµÇ´Â °ªÀÔ´Ï´Ù.
Bilinear Model
ÀϹÝÀûÀÎ ´ëĪ À̼±Çü(Bilinear) ö±Ù ¸ðµ¨ÀÔ´Ï´Ù.
.bmp)
f_y : ö±ÙÀÇ Ç׺¹°µµ
E1 : ö±ÙÀÇ Ãʱⰼº
E2/E1: Ç׺¹ ÈÄ Ã¶±ÙÀÇ °¼º°ú Ãʱ⠰¼ºÀÇ ºñ
¾Æ·¡ ±×¸²¿¡¼¿Í °°ÀÌ Ç׺¹ ÀÌÈÄ Á¦ÇÏ(Unloading), ÀçÀçÇÏ(Reloading)½Ã¿¡´Â ź¼º°¼ºÀ¸·Î °Åµ¿Çϵµ·Ï ±¸ÇöµÇ¾î ÀÖ½À´Ï´Ù.

Unsymmetric Bilinear Steel Model
ÀϹÝÀûÀÎ À̼±Çü ö±Ù ¸ðµ¨À» ½ÉÈÇÑ ¸ðµ¨·Î¼ Ç׺¹ ÈÄ Ã¶±ÙÀÇ °¼ºÀ» ÀÓÀÇ·Î Á¤ÀÇÇÒ ¼ö ÀÖÀ¸¸ç, ö±ÙÀÇ Á±¼°ú ÆÄ´Ü µîÀ» °í·ÁÇÒ ¼ö ÀÖ½À´Ï´Ù.
.bmp)
¥ò_y : ÀÎÀåÃø Ç׺¹°µµ
¥ò_cy : ¾ÐÃàÃø Ç׺¹°µµ
¥å1 : ö±ÙÀÇ ¾ÐÃà Á±¼ ¹ß»ý½ÃÀÇ º¯Çü·ü
¥å2 : ÀÎÀå Ç׺¹ÈÄ Ã¶±Ù ÆÄ´Ü ¹ß»ý½ÃÀÇ º¯Çü·ü
E1 : ö±ÙÀÇ Ãʱⰼº
E2 : ÀÎÀåÇ׺¹ÈÄ Ã¶±ÙÀÇ °¼º
E3 : ÀçÇϽà ö±ÙÀÇ Ç׺¹ ÀÌÈÄ °¼º
E4 : ¾ÐÃà Ç׺¹ ÀÌÈÄ Ã¶±ÙÀÇ °¼º (À½¼ö°ªÀ» ÁöÁ¤ÇÏ¸é ¸¶À̳ʽº ±¸¹è¸¦ °í·ÁÇÒ ¼ö ÀÖ½À´Ï´Ù.)
E5 : ¾ÐÃàÇ׺¹ÀÌ ¹ß»ýÇÑ Ã¶±ÙÀÇ Á±¼ ÀÌÈÄÀÇ °¼º
º» ¸ðµ¨Àº ö±ÙÀÇ ¾ÐÃà-ÀÎÀåÇ׺¹, ÀÎÀå ÆÄ´Ü, ¾ÐÃà Á±¼ µî ´Ù¾çÇÑ »óűîÁö ¸ð»çÇÒ ¼ö ÀÖ´Â ¸ðµ¨ÀÔ´Ï´Ù. ¹ß»ý °¡´ÉÇÑ ÀÌ·Â »óŸ¦ ¾Æ·¡ ±×¸²¿¡ ³ªÅ¸³»¾ú½À´Ï´Ù.

°¢ State ¿¡ ´ëÇÑ ÀÚ¼¼ÇÑ ¼³¸íÀº ´ÙÀ½°ú °°½À´Ï´Ù.
ÀÎÀå°Åµ¿ÀÌ ÁÖ¿äÇÑ Ã¶±Ù ÀÌ·ÂÀ̹ǷΠÇÏÁß ÀçÇÏ ¹æÇâÀº ÀÎÀåÀ» ±âº»À¸·Î °í·ÁÇÕ´Ï´Ù. µû¶ó¼ ¾Æ·¡¿¡¼ Á¦ÇÏ(Unloading)´Â ÀÎÀå»óÅ¿¡¼ ¾ÐÃà»óÅ·ΠÇÏÁß¹æÇâÀÌ ¹Ù²ï °ÍÀ» ÀǹÌÇϸç, ÀçÀçÇÏ(Reloading)Àº ¾ÐÃà »óÅ¿¡¼ ÀÎÀå»óÅ·ΠÇÏÁß¹æÇâÀÌ ÁøÇàµÇ´Â °ÍÀ» ÀǹÌÇÕ´Ï´Ù.
State 1 : ź¼º°Åµ¿ »óÅ·μ E1À» ±â¿ï±â·Î ź¼º°Åµ¿À» ÇÕ´Ï´Ù.
1 ¡æ 2 = Ç׺¹»óÅ·ΠÀüÀÌ µÇ´Â °ÍÀ» ÀǹÌÇϸç ÀÎÀå Ç׺¹½Ã¿¡´Â E2ÀÇ ±â¿ï±â·Î, ¾ÐÃà Ç׺¹½Ã¿¡´Â E4ÀÇ ±â¿ï±â·Î °Åµ¿ÇÕ´Ï´Ù.
State 2 : Ç׺¹ÀÌÈÄ »óÅ·μ E2¸¦ ±â¿ï±â·Î °Åµ¿ÇÕ´Ï´Ù.
2 ¡æ 4 = Ç׺¹ÀÌÈÄ¿¡ Á¦ÇÏ(Unloading) ¶Ç´Â ÀçÀçÇÏ (Reloading) µÇ´Â »óŸ¦ ÀǹÌÇÕ´Ï´Ù.
2 ¡æ 8 = Ç׺¹ÀÌÈÄ¿¡ ÀÎÀåÀÌ Áö¼ÓµÇ¾î ÀÎÀå ÆÄ´ÜÀÌ ÀÏ¾î³ »óŸ¦ ÀǹÌÇÕ´Ï´Ù. ÆÄ´ÜÀÌ ÀÏ¾î³ µÚ¿¡´Â ÀÀ·ÂÀÌ ¹«Á¶°Ç 0À¸·Î °è»êµË´Ï´Ù.
State 3 : Á¦Çϰ¡ °è¼Ó µÇ¾î ¾ÐÃàºÎ¿¡¼µµ Ç׺¹ÀÌ ¹ß»ýÇÑ »óŸ¦ ÀǹÌÇÕ´Ï´Ù. ±â¿ï±â E2·Î °Åµ¿Çϸç, E3Á÷¼±°ú º¯Çü·ü Ãà°úÀÇ ±³Á¡ÀÌ ¥å2º¸´Ù Å©µµ·Ï E3¸¦ ÀÔ·ÂÇÕ´Ï´Ù.
3 ¡æ 4 = ÀçÀçÇÏ(Reloading)°¡ ÀϾ´Â »óŸ¦ ÀǹÌÇϸç E1 À» ±â¿ï±â·Î °Åµ¿ÇÏ°Ô µË´Ï´Ù.
3 ¡æ 5 = Á¦ÇÏ(Unloading)°¡ °è¼ÓµÇ°í ¾ÐÃຯÇüÀÌ ¥å1À» ÃʰúÇÏ¿© ¾ÐÃà Á±¼ÀÌ ½ÃÀ۵Ǵ °ÍÀ» ÀǹÌÇÕ´Ï´Ù. E5ÀÇ ±â¿ï±â·Î °Åµ¿ÇÏ°Ô µË´Ï´Ù.
State 4 : Á¦ÇÏ, ÀçÀçÇϽÿ¡ ź¼º°¼ºE1¸¦ ±â¿ï±â·Î °Åµ¿ÇÏ´Â »óŸ¦ ÀǹÌÇÕ´Ï´Ù. ÀÌ »óÅ¿¡¼ÀÇ Á¦ÇÏ, ÀçÀçÇÏ´Â E1ÀÇ ±â¿ï±â·Î ÁøÇàµË´Ï´Ù.
4 ¡æ 2 = ÀçÀçÇϰ¡ ÁøÇàµÇ¾î ÀÎÀåÇ׺¹»óÅ·Π³Ñ¾î°¡´Â °úÁ¤À» ÀǹÌÇÕ´Ï´Ù. ¶Ç´Â Á¦Çϰ¡ ÁøÇàµÇ¾î ¾ÐÃàÇ׺¹»óÅ·Π³Ñ¾î°¡´Â °úÁ¤À» ÀǹÌÇÕ´Ï´Ù.
4 ¡æ 3 = Á¦Çϰ¡ ÁøÇàµÇ¾î ¾ÐÃà Ç׺¹ÀÌ ¹ß»ýÇÑ »óŸ¦ ÀǹÌÇÕ´Ï´Ù. E3°¡ E2¿Í ´Ù¸¥ °æ¿ì¿¡µµ »ó±â ±×¸²¿¡ ³ªÅ¸³½ ¹Ù¿Í °°ÀÌ E3 Á÷¼±°ú ¸¸³ª¸é ¾ÐÃàÇ׺¹ÀÌ ¹ß»ýÇß´Ù°í ÆÇ´ÜÇÕ´Ï´Ù.
4 ¡æ 5 = Á¦Çϰ¡ ÁøÇàµÇ¾î ¾ÐÃàÁ±¼ »óÅ·ΠÁ¢¾îµå´Â °úÁ¤À» ÀǹÌÇÕ´Ï´Ù.
State 5 : ¾ÐÃຯÇü·üÀÌ Á±¼ ¹ß»ý º¯Çü·üÀ» ÃʰúÇÏ¿© ö±ÙÀÇ Á±¼ÀÌ ¹ß»ýÇÑ »óŸ¦ ÀǹÌÇÕ´Ï´Ù. ±â¿ï±â E5 ·Î °Åµ¿ÇÏ°Ô µË´Ï´Ù.
5 ¡æ 4 = ¾ÐÃàÁ±¼ µµÁß¿¡ ÀçÀçÇϰ¡ ÁøÇàµÇ´Â »óŸ¦ ÀǹÌÇÕ´Ï´Ù.
5 ¡æ 7 = ¾ÐÃàÀÌ °è¼ÓµÇ¾î ö±ÙÀÌ ¿ÏÀüÈ÷ ¾ÐÃàÁ±¼µÈ »óŸ¦ ÀǹÌÇÕ´Ï´Ù. State 7ÀÌÈÄ¿¡´Â ¾ÐÃàÇÏÁßÇÏ¿¡¼´Â ÀÀ·ÂÀÌ 0 À¸·Î µË´Ï´Ù.
State 6 : ¾ÐÃàÁ±¼ ÀÌÈÄ¿¡ ÀçÀçÇϵǴ »óŸ¦ ÀǹÌÇÕ´Ï´Ù. À̶§ ÀÎÀåÃø Ç׺¹ÀÌ ¹ß»ýÇϱâ ÀÌÀüÀÌ¸é ¥òyÀ» ÇâÇØ¼ ÀçÀçÇϰ¡ ÁøÇàµË´Ï´Ù.
ÀÎÀåÃø Ç׺¹ÀÌ ¹ß»ýÇÑ ÀÌÈĶó¸é ÀÎÀåÃø ÃÖ´ëÁ¡À» ÇâÇØ ÀçÀçÇϰ¡ ÁøÇàµÇµµ·Ï ÇÕ´Ï´Ù.
6 ¡æ 2 = ÀçÀçÇϰ¡ ÁøÇàµÇ¾î ÀÎÀåÇ׺¹ÀÌ ¹ß»ýÇÑ »óŸ¦ ÀǹÌÇÕ´Ï´Ù.
6 ¡æ-1 = ÀçÀçÇϰ¡ ÁøÇàµÇ´Ù°¡ Á¦Çϰ¡ ¹ß»ýÇÑ »óŸ¦ ÀǹÌÇÕ´Ï´Ù.
State 7 : ¿ÏÀüÇÑ ¾ÐÃàÁ±¼ÀÌ ¹ß»ýÇÑ »óŸ¦ ÀǹÌÇÏ¸ç ´õ ÀÌ»ó ¾ÐÃàÀÀ·ÂÀ» ¹ß»ý½ÃŰÁö ¸øÇÏ´Â »óÅÂÀÔ´Ï´Ù. ¾ÐÃàÀÀ·ÂÀº 0ÀÌ µÇÁö¸¸ ÀÎÀå·Â¿¡´Â ÀúÇ×ÇÒ ¼ö ÀÖ½À´Ï´Ù.
7 ¡æ 6 = ÀçÀçÇϰ¡ ¹ß»ýÇÏ¿© ÀÎÀåÃÖ´ëÁ¡À» ÇâÇØ ÁøÇàµÇ´Â »óŸ¦ ÀǹÌÇÕ´Ï´Ù.
State 8 : ÀÎÀå ÆÄ´ÜÀÌ ¹ß»ýÇÏ¿© ´õ ÀÌ»ó ÀÎÀåÀÀ·ÂÀ» ¹ß»ý½ÃŰÁö ¸øÇÏ´Â »óŸ¦ ÀǹÌÇÕ´Ï´Ù. ÀÎÀåÆÄ´ÜÀÌ ¹ß»ýÇÏ¸é ´õ ÀÌ»ó ÀÎÀå, ¾ÐÃà ¾î¶² ÀÀ·Âµµ ¹ß»ý½ÃŰÁö ¸øÇÑ´Ù°í º¾´Ï´Ù.
State 1: ¾ÐÃàÁ±¼ÀÌÈÄÀÇ ÀçÀçÇÏ °úÁ¤(state6)¿¡¼ Á¦Çϰ¡ ¹ß»ýÇÑ »óŸ¦ ÀǹÌÇÕ´Ï´Ù. ź¼º°¼º E1À¸·Î °Åµ¿ÇÏ°Ô µË´Ï´Ù.
-1 ¡æ 6 : ÀçÀçÇϰ¡ ¹ß»ýÇÏ¿© ´Ù½Ã ÀÎÀåÃÖ´ëÁ¡À» ÇâÇØ ÁøÇàµÇ´Â »óŸ¦ ÀǹÌÇÕ´Ï´Ù.
-1 ¡æ 7 : Á¦Çϰ¡ ÁøÇàµÇ¾î ¿ÏÀü ¾ÐÃàÁ±¼»óÅ·ΠÀüÀ̵Ǵ »óŸ¦ ÀǹÌÇÕ´Ï´Ù.
ÀÌ»ó°ú °°ÀÌ ´Ù¾çÇ× »óÅÂ¿Í ÀüÀ̸¦ °í·ÁÇÑ ¸ðµ¨À̹ǷΠ»ç¿ëÀÚÀÇ ÃæºÐÇÑ ÀÌÇØ°¡ ¹ÙÅÁµÇ°í ½ÇÇèÀû ¼öÄ¡µéÀ» ÀûÀýÈ÷ »ç¿ëÇÑ´Ù¸é ¶Ù¾î³ È°¿ë´É·ÂÀ» °¡Áö´Â ¸ðµ¨ÀÌ µÉ °ÍÀÔ´Ï´Ù. ±×·¯³ª ÀÎÀåÆÄ´Ü°ú ¾ÐÃà Á±¼ ÀÌÈÄ¿Í °°Àº ±ØÇÑ »óÅ¿¡¼´Â ÀúÇ×ÀÀ·ÂÀÌ ÀüÇô ¾øÀÌ 0ÀÌ µÇ±â ¶§¹®¿¡ ÁÖÀǰ¡ ÇÊ¿äÇÕ´Ï´Ù.
Trilinear Steel Model
¼¼ °³ÀÇ ±â¿ï±â¸¦ °¡Áø Trilinear ¸ðµ¨ÀÔ´Ï´Ù.
ÀÌ·ÂÀÔ·Â ¹æ½ÄÀÇ ÆíÀ̼ºÀ» À§ÇØ ÀÌ·Â ÀÔ·ÂÀ» Stress-StrainÀÇ ÁÂÇ¥µé·Î ÀÔ·ÂÇÏ´Â ¹æ½Ä°ú °¼ºÀÇ Àú°¨·ü·Î ÀÔ·ÂÇÏ´Â ¹æ½ÄÀÇ µÎ °¡Áö¸¦ ±¸ÇöÇϰí ÀÖ½À´Ï´Ù.
Á¦ÇÏ, ÀçÀçÇϽà ź¼º°¼ºÀ» ±âº»À¸·Î °Åµ¿ÇÏ°Ô µË´Ï´Ù.
.bmp)
ÀÀ·Â-º¯Çü·ü Á¤Àǹæ½Ä ÀÀ·Â-°¼ºÀú°¨·ü Á¤Àǹæ½Ä
¥ò1y : ÀÎÀåÃø 1Â÷ Ç׺¹°µµ
¥ò2y : ÀÎÀåÃø 2Â÷ Ç׺¹°µµ
¥ò3y : ÀÎÀåÃø 2Â÷ Ç׺¹ÈÄ °µµ (K3 »êÁ¤½Ã ÇÊ¿ä)
¥ò'1y : ¾ÐÃàÃø 1Â÷ Ç׺¹°µµ
¥ò'2y : ¾ÐÃàÃø 2Â÷ Ç׺¹°µµ
¥ò'3y : ¾ÐÃàÃø 2Â÷ Ç׺¹ÈÄ °µµ (K5 »êÁ¤½Ã ÇÊ¿ä)
¥å1y : ÀÎÀåÃø 1Â÷ Ç׺¹ º¯Çü·ü
¥å2y : ÀÎÀåÃø 2Â÷ Ç׺¹ º¯Çü·ü
¥å3y : ÀÎÀåÃø 2Â÷ Ç׺¹ÈÄ º¯Çü·ü (K3 »êÁ¤½Ã ÇÊ¿ä)
¥å'1y : ¾ÐÃàÃø 1Â÷ Ç׺¹ º¯Çü·ü
¥å'2y : ¾ÐÃàÃø 2Â÷ Ç׺¹ º¯Çü·ü
¥å'3y : ¾ÐÃàÃø 2Â÷ Ç׺¹ÈÄ º¯Çü·ü (K5 »êÁ¤½Ã ÇÊ¿ä)
K : ö±ÙÀÇ Ãʱⰼº
K2/K1 : 1Â÷ ÀÎÀå Ç׺¹ÈÄ Ã¶±ÙÀÇ °¼º°ú ÃʱⰼºÀÇ ºñ
K3/K1 : 2Â÷ ÀÎÀå Ç׺¹ÈÄ Ã¶±ÙÀÇ °¼º°ú ÃʱⰼºÀÇ ºñ
K4/K1 : 1Â÷ ¾ÐÃà Ç׺¹ÈÄ Ã¶±ÙÀÇ °¼º°ú ÃʱⰼºÀÇ ºñ
K5/K1 : 2Â÷ ¾ÐÃà Ç׺¹ÈÄ Ã¶±ÙÀÇ °¼º°ú ÃʱⰼºÀÇ ºñ
Note
'¥ò - ¥å' ÀԷ¹æ½ÄÀ¸·Î ¥å1y~¥å'3y¸¦ ÀÔ·ÂÇÑ »óÅ¿¡¼, '¥ò - ¥á' ÀԷ¹æ½ÄÀ¸·Î º¯È¯Çϸé, ÀÚµ¿À¸·Î ±× º¯Çü·ü¿¡ ÇØ´çÇÏ´Â
°¼º K1, K2/K1, K3/K1µéÀ» °è»êÇØ ÁÝ´Ï´Ù. ±× ¿ª ¶ÇÇÑ ÀÚµ¿À¸·Î °è»êµË´Ï´Ù.