Integral Bridge Spring Supports
±â´É
Integral Bridge´Â »óºÎ±¸Á¶¿¡ ½ÅÃàÀÌÀ½ÀåÄ¡¸¦ µÎÁö ¾Ê°í, »óºÎ±¸Á¶¿Í ±³´ë¸¦ ÀÏÃ¼È ½ÃŲ ±³·® Çü½ÄÀ¸·Î¼ »óºÎ±¸Á¶ÀÇ º¯ÇüÀ» ±³´ë¿Í ¸»¶ÒÀÇÀ¯¿¬ÇÑ °Åµ¿À¸·Î Èí¼öÇϵµ·Ï ÇÕ´Ï´Ù.
ÀÌ·¯ÇÑ Çü½Ä¿¡¼´Â ¿Âµµº¯È·Î ÀÎÇÑ »óºÎ±¸Á¶ÀÇ º¯ÇüÀÌ ÁÖµÈ °ü½É»çÀ̸ç, »óºÎ±¸Á¶ÀÇ ÆØÃ¢/¼öÃàÀ¸·Î ÀÎÇØ ±³´ë ¹è¸éÀÇ Áö¹ÝÀÌ ¿µÇâÀ» ¹Þ°Ô µË´Ï´Ù. »óºÎ±¸Á¶ÀÇ ÆØÃ¢À¸·Î ÀÎÇÑ Åä»çÀÇ ¾ÐÃà°ú »óºÎ±¸Á¶ÀÇ ¼öÃàÀ¸·Î ÀÎÇÑ ¹è¸é Åä»çÀÇ Èê·¯³»¸²ÀÌ ¹Ýº¹µÇ¸é¼ ±³´ë ¹è¸éÀº ±íÀÌ¿¡ µû¸¥ Áö¹Ý¹Ý·Â°è¼ö¿Í Åä¾ÐºÐÆ÷°¡ ´Þ¶óÁö°Ô µË´Ï´Ù.
»óºÎ±¸Á¶°¡ ÆØÃ¢Çß´Ù°¡ ´Ù½Ã ¼öÃàÇÏ´Â °ÍÀ» ÇÑ ÁÖ±â(Cycle)¶ó°í ÇßÀ» ¶§, ÀÌ ÁֱⰡ ¹«ÇÑÈ÷ ¹Ýº¹µÇ¸é ¹è¸éÁö¹ÝÀÇ Áö¹Ý¹Ý·Â°è¼ö ºÐÆ÷°¡ ÀÏÁ¤ÇÑ Æ¯¼ºÀ¸·Î ¼ö·ÅÇÑ´Ù°í Á¦¾ÈÇÑ LahaneÀÇ ½ÇÇè½ÄÀ» »ç¿ëÇÏ¿© Áö¹Ý½ºÇÁ¸µÀ» ÇÒ´çÇÕ´Ï´Ù.
ÀÌ·¯ÇÑ Æ¯¼ºÀ» ¹Ý¿µÇϱâ À§ÇØ ¼öÆò¹ÝÇâÀº ¾ÐÃàÀü´ã½ºÇÁ¸µÀ¸·Î, Á¢¼±¹æÇâÀº ¼±Çüź¼º½ºÇÁ¸µÀ¸·Î Áö¹ÝÀ» ¸ðµ¨¸µÇÕ´Ï´Ù.
È£Ãâ
Main Menu¿¡¼ Model > Boundaries > Integral Bridge Spring Supports
Tree MenuÀÇ Menu ÅÇ¿¡¼ Geometry > Boundaries > Integral Bridge Spring Supports
ÀÔ·Â
¡á Abutment Spring
±³´ë¹è¸é°ú ±âÃÊÀÇ Áö¹Ý½ºÇÁ¸µÀ» ÀÚµ¿ ¹èÄ¡ÇÕ´Ï´Ù. ±³´ë ¹è¸éÀº ¾ÐÃàÀü´ã½ºÇÁ¸µ(
)À¸·Î, ±³´ë ±âÃÊ´Â ¼±Çü ź¼º½ºÇÁ¸µ(
)À¸·Î Á¤ÀÇÇÕ´Ï´Ù. ÀÔ·ÂµÈ µ¥ÀÌÅÍ´Â Point
Spring Supports Table ¿¡¼ È®ÀÎÇÒ ¼ö ÀÖ½À´Ï´Ù.
|
|
Direction : Elastic LinkÀÇ ¹èÄ¡¹æÇâÀ» ¼±ÅÃÇÕ´Ï´Ù. Element List : ±³´ë ¹è¸éÀÇ Áö¹Ý½ºÇÁ¸µÀ» ÀÔ·ÂÇÒ ¿ä¼Ò¼±ÅÃ
Abutment Height (H) : ±³´ë ³ôÀÌ Abutment Width (B) : ±³´ë ³Êºñ Deck Length (L) : ¹Ù´ÚÆÇÀÇ Á¾¹æÇâ ±æÀÌ
Void Ratio (e) : ±³´ë ¹è¸é ÈëÀÇ °£±Øºñ Specific Gravity (Gs) : ±³´ë ¹è¸é ÈëÀÇ ºñÁß, ÀϹÝÀûÀ¸·Î 2.65¸¦ »ç¿ëÇÕ´Ï´Ù. Cycle factor (fcyc) : [Cosgrove et al (2001)]°ú cycle¿¡ µû¸¥ °ø±Ø·üÀÇ °¨¼Ò·Î 2ÀÇ °ªÀ¸·Î Á¤ÀÇÇÕ´Ï´Ù. ¿ÂµµÇÏÁß¿¡ ÀÇÇØ »óºÎ±¸Á¶°¡ ÆØÃ¢/¼öÃàµÇ°í, ÀÏÃ¼ÈµÈ ±³´ëµµ ÇÔ²² º¯ÇüÇÏ°Ô µË´Ï´Ù. ÀÌ CycleÀÌ ¹«ÇÑÈ÷ ¹Ýº¹µÉ ¶§ÀÇ »óŸ¦ °æÇè½ÄÀ¸·Î Ç¥ÇöÇÒ ¶§, »ç¿ëµÇ´Â »ó¼öÀÔ´Ï´Ù.
Differential Deck Temp. : ¹Ù´ÚÆÇÀÇ ¿ÂµµÁõ°¡·® ¥á : ¹Ù´ÚÆÇÀÇ ¿ÆØÃ¢°è¼ö
Found. Width (W) : ±âÃÊÆø Found. Bearing Pressure (p') : ±âÃÊ ÁöÁö·Â Rotation Direction : ±âÃÊÀÇ È¸Àü¹æÇâ. ±âÃÊÀÇ ±æÀ̹æÇâÀÌ y¶ó¸é Ry¸¦ ¼±ÅÃÇÕ´Ï´Ù. |
±³´ë¹è¸é
¾ÐÃàÀü´ã½ºÇÁ¸µÀÇ °¼º°è»ê

´ÜÀ§¸éÀû´ç
°¼º
Broms(1971)¿¡ µû¸£¸é Integral BridgeÀÇ ±âÃÊ ¹è¸é Áö¹ÝÀÇ È¾¹æÇâ º¯À§¿Í Ⱦ¹æÇâ ÀÀ·ÂÀº À§ÀÇ ±×¸²°ú °°Àº °ü°è¸¦
°®°í ÀÖÀ¸¸ç, ´ÜÀ§¸éÀû´ç °¼ºÀº ´ÙÀ½°ú °°ÀÌ °è»êÇÕ´Ï´Ù.
.gif)
SpringÀÇ
°¼º
ÃÖÁ¾ÀûÀÎ Spring °¼ºÀº ÀÌ ´ÜÀ§¸éÀû´ç °¼º¿¡ ¸éÀûÀ» °öÇÏ¿© °è»êµË´Ï´Ù.
.gif)
±³´ë±âÃÊ ¼±Çü ź¼º½ºÇÁ¸µÀÇ °¼º°è»ê
´ÜÀ§¸éÀû´ç °¼º
.gif)
SpringÀÇ
°¼º
ÃÖÁ¾ÀûÀÎ Spring °¼ºÀº ÀÌ ´ÜÀ§¸éÀû´ç °¼º¿¡ ¸éÀûÀ» °öÇÏ¿© °è»êµË´Ï´Ù.
.gif)
¡á Pile Spring
¸»¶ÒÀÇ Áö¹Ý½ºÇÁ¸µÀ» ÀÚµ¿ ÀÔ·ÂÇÕ´Ï´Ù. ¸»¶ÒÀÇ È¾¹æÇâÀº ´ëĪ ºñ¼±Çü ź¼º½ºÇÁ¸µ(
)À¸·Î, ¸»¶ÒÀÇ Á¢¼± ¹æÇâÀº ¼±Çü ź¼º½ºÇÁ¸µ(
)À¸·Î Á¤ÀÇÇÕ´Ï´Ù.
°¼ºÀÌ °è»êµÈ Áö¹Ý½ºÇÁ¸µÀº General TypeÀÇ Point Spring Supports·Î ÀԷµǸç, ÀÔ·ÂµÈ µ¥ÀÌÅÍ´Â Point Spring Supports Table ¿¡¼ È®ÀÎÇÒ ¼ö ÀÖ½À´Ï´Ù.
|
|
Soil Type : Sand / Soft Cray / Stiff CrayÀÇ ¼¼°¡Áö·Î ±¸ºÐÇÒ ¼ö ÀÖÀ¸¸ç, ¼±ÅÃÇÏ´Â Åä»çÀÇ Á¾·ù¿¡ µû¶ó °¼º°è»ê ¹æ¹ýÀÌ ´Þ¶óÁý´Ï´Ù. ¾Æ·¡ÀÇ ½ºÇÁ¸µ°¼º °è»ê¹æ¹ýÀ» ÂüÁ¶ÇϽñ⠹ٶø´Ï´Ù. Ground Level : ÁöÇ¥¸éÀÇ ZÁÂÇ¥ Pile Diameter(D) : ¸»¶ÒÀÇ Áö¸§ Unit Weight of Soil(¥ã) : ÈëÀÇ ´ÜÀ§Áß·® Earth Pressure Coeff. at rest(K0) : Á¤ÁöÅä¾Ð°è¼ö Coeff. of Subgrade Reaction(Kh) : Áö¹Ý¹Ý·Â°è¼ö Internal Friction Angle (¥Õ) : ÈëÀÇ ³»ºÎ¸¶Âû°¢ Initial Soil Modulus(k1) : »ó´ë¹Ðµµ¿¡ µû¶ó °áÁ¤µÇ´Â »ó¼ö·Î ¸»¶ÒÀÇ ¼öÆò¹æÇâ ºñ¼±Çü ź¼º½ºÇÁ¸µÀÇ °¼º°áÁ¤¿¡ »ç¿ëµË´Ï´Ù. ¾Æ·¡ÀÇ kÁ¡°ú mÁ¡ÀÇ Á¤ÀÇ ºÎºÐÀ» ÂüÁ¶ÇϽñ⠹ٶø´Ï´Ù. |
¸»¶Ò (¼öÆò¹æÇâ) ºñ¼±Çü ź¼º½ºÇÁ¸µÀÇ °¼º°è»ê
|
|
ÀÓÀÇ ±íÀÌ X¿¡¼ Ⱦº¯À§ Y¿Í ´ÜÀ§±æÀÌ´ç Áö¹Ý¹Ý·Â(kN/m)ÀÇ °ü°è´Â ¿ÞÂÊÀÇ ±×·¡ÇÁ¿Í °°Àº °ü°è¸¦ °¡Áý´Ï´Ù. ÀÓÀÇ ±íÀÌ X(Áï, Áö¹Ý½ºÇÁ¸µÀÇ À§Ä¡)¿¡¼ Pk, Pm, Pu, Yk, Ym, YuÀÇ °ªÀÌ Á¤Àǵ˴ϴÙ. Áö¹ÝÀÇ Á¾·ù¿¡ µû¶ó Pu¸¦ Á¤ÀÇÇÏ´Â °è»ê¹æ¹ýÀÌ ´Þ¶óÁö¸ç, Pk, Pm, Yk, Ym, Yu ÀÇ À§Ä¡´Â Pu¸¦ ÅëÇØ µ¿ÀÏÇÑ ¹æ¹ýÀ¸·Î °è»êµË´Ï´Ù. °è»ê¹æ¹ýÀº Å©°Ô Sand¿Í Clay·Î ºÐ·ùµÇ¸ç, J°ªÀ» ´Ù¸£°Ô Àû¿ëÇÏ¿© Soft Clay¿Í Stiff Clay·Î ±¸ºÐÇÕ´Ï´Ù. |
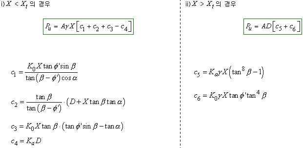
Áö¹ÝÀÌ »çÁúÅä(Sand)ÀÎ °æ¿ìÀÇ Pu
Xt °ªÀº ¾Æ·¡ µÎ°¡Áö °æ¿ìÀÇ Pu°¡ °°À» °æ¿ì¿¡ ´ëÇÑ ±íÀÌ °ªÀ» ³ªÅ¸³»¹Ç·Î Pu¿¡ ´ëÇÑ ¾Æ·¡ µÎ ½ÄÀ» °°°Ô
³õ°í X¿¡ ´ëÇÏ¿© Á¤¸®ÇÏ¿© 2Â÷¹æÁ¤½ÄÀ» Ç®¾î ÇØ¸¦ ±¸ÇÑ ÈÄ ÀûÀýÇÑ °ªÀ» ¼±ÅÃÇÕ´Ï´Ù.
.gif)
.gif)
Áö¹ÝÀÌ Á¡Åä(Clay)ÀÎ °æ¿ìÀÇ Pu
.gif)
.gif)
SpringÀÇ
°¼º
ÃÖÁ¾ÀûÀÎ Spring °¼ºÀº ¾Õ¿¡¼ °è»êÇÑ ´ÜÀ§¸éÀû´ç °¼º¿¡ ¸éÀûÀ» °öÇÏ¿© °è»êµË´Ï´Ù.
.gif)
¸»¶Ò (Á¢¼±¹æÇâ) ¼±Çü ź¼º½ºÇÁ¸µÀÇ °¼º°è»ê
.gif)
¸»¶Ò Á¢¼±¹æÇâ ¼±Çü ź¼º½ºÇÁ¸µÀÇ ¹æÇâÀº Áö¸é¿¡ ¼öÁ÷ÀÎ ¹æÇâ(ÀüüÁÂÇ¥°è -Z) À̸ç, PileÀÌ Áö¸é¿¡ ¼öÁ÷ÀÌ ¾Æ´Ñ °æ¿ì¿¡´Â PileÀ» ±¸¼ºÇÏ´Â ÀýÁ¡ÀÇ ÀýÁ¡ÁÂÇ¥°è z¹æÇâÀÌ ÀüüÁÂÇ¥°è Z¹æÇâ°ú ÀÏÄ¡Çϵµ·Ï ÀýÁ¡ÁÂÇ¥°è(Node Local Axis)¸¦ ¼öÁ¤ÇØ¾ß ÇÕ´Ï´Ù.