Approximate Estimate of Time Dependent Tendon Losses

 

 

Tendon losses are approximated without considering time dependent properties in detail through construction stage analysis. This approximate method is generally used for preliminary design. The program calculates approximate tendon losses separating into instantaneous losses and time dependent losses. Instantaneous losses include losses due to friction, anchorage slip and elastic shortening. Time dependent losses include creep, shrinkage and relaxation. In case of Lump Sum Estimate Method, losses due to creep, shrinkage and relaxation are combined into single values, which are produced under the creep/shrinkage loss column.  

This function is supposed to be applied to the model in which construction stages are not defined. After the analysis, the prestress losses can be viewed using the Results Tables > Tendon > Tendon Approximate Loss menu.

Approximate Estimate of Time Dependent Tendon Losses cannot be calculated with following analysis simultaneously.

- Different boundary conditions assigned to different load cases (Analysis > Boundary Change Assignment to LoadCase/Analys)

- Analysis reflecting stiffness before/after composite action (Load > Composite Section Analysis Data > Load Cases for Pre-Composite Section)

 

 

 

From the Main Menu select Analysis >  Analysis Control > Approximate Tendon Losses…

 

 

1. Tendon losses as per AASHTO LRFD 06 )

• Estimation Method

Select the estimation method. (Rational Approximate Method or Lump Sum Method)

 

• Rational Approximate Method

Time dependent long-term losses of precast and pretension members due to creep, shrinkage and relaxation of the tendon under the normal loads and conditions can be calculated as the following equation (1) provided that the following conditions are satisfied.  

    • Concrete material of normal weight density

    • Steam curing or wet curing

    • Normal or low-relaxation steel bar or strand

    • Normal exposure condition and temperature

(1)

Where,   represents tendon loss due to creep of concrete,   represents tendon loss due to shrinkage and  represents tendon loss due to relaxation of steel after transfer (17MPa for low-relaxation strand, 70MPa for stress relief strand, otherwise, the value given by the manufacturer for tendon losses due to relaxation).

: Time dependent losses (MPa)

: Initial stress in the tendon at the end of stressing (MPa)

: compressive strength of concrete at transfer (MPa)

If project-specific information is not available, the value of may be taken as for the purpose of this calculation.

: The average annual ambient relative humidity (percent)

 

• Lump Sum Method

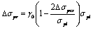
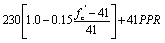
Approximate time dependent tendon losses by Lump Sum Method are due to creep, shrinkage and relaxation of tendon. Tendon losses are obtained from the table 1 provided that the compressive strength of concrete members, except for composite slabs, exceeds 24MPa. Losses due to elastic shortening are not considered here, which need to be separately considered.  

For segmental concrete bridges, lump sum loses may be used only for preliminary design purposes.

For members made from structural low-density concrete, the values specified in Table 1 shall be increased by 35MPa.

For low-relaxation strands, the values specified in Table 1 may be reduced by:

    • 28MPa for box girders

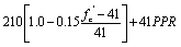
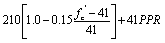
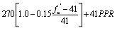
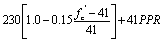
    • 41MPa for rectangular beams, solid slabs and I-girders

    • 55MPa for single T's, double T's, hollow core and voided slabs

Table 1. Time dependent tendon losses by Lump Sum Estimate Method

Type of Beam Section

Level

For Wires and Strand with

 fpu=1620, 1725 or 1860Mpa

For Bars with

fpu =1000 or 1100Mpa

Rectangular Beam

and Solid Slabs

Upper Bound

 

Average

 

Box Girder

Upper Bound

 

Average

 

 

 

Single T, Double T, Hollow Core and Voided Slab

Upper Bound

 

Average

Upper bound represents that the concrete is under unfavorable conditions such as low compressive strength, low relative humidity and wet curing.   

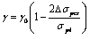
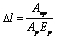
Partial Prestress Ratio (PPR) is defined as following equation (2).

 (2)

: Area of nonprestressed tension reinforcement (mm2)

: Area of prestressing steel

: Specified yield strength of reinforcing bars (MPa)

: Yield strength of prestressing steel (MPa)

: Specified compressive strength of concrete (MPa)  

 

2. Tendon losses as per PCI Bridge Design Manual '04

• Estimation Method

Select the estimation method. (Refined Estimate Method or Lump Sum Estimate Method)

 

• Refined Estimate Method

Time dependent tendon losses of Refined Estimate Method as per PCI Bridge Design Manual '04 are the same as AASHTO LRFD Specification and AASHTO Standard Specification 2004.

(1) Losses due to shrinkage

□ For pretensioned members:

(MPa)

□ For post-tensioned members:

(MPa)

 : Losses of prestress due to shrinkage (MPa)

 : Average annual relative humidity

 

(2) Losses due to creep

Both pretension and post-tension members are calculated by following equation.

 

: Prestress loss due to creep of concrete (MPa)

: Concrete stress at center of gravity of prestressing steel at transfer (MPa)

: Change in concrete stress at center of gravity of prestressing steel due to permanent loads, with the exception of the load acting at the time the prestressing force is applied. Values of should be calculated at the same section or at sections for which is calculated (MPa).  

 

(3) Losses due to relaxation immediately preceding prestressing the tendon

Losses due to stress relaxation of the low-relaxation tendon are calculated by the following equation (1) from the prestressing force of the tendon immediately after anchoring the tendon. Equation (1) is derived from AASHTO LRFD Specification 2004, and it is the same as Magura’s equation in the program.        

    (1)

: The relaxation loss in prestressing steel at transfer     

 : Initial stress in the tendon at the end of stressing  

 : Specified yielding strength of prestressing steel (MPa)

 : Time estimated in days from stressing to transfer (days)

 : Material constant (45 for low-relaxation strand, 10 for stress-relieved strand)

 

 (4) Losses due to stress relaxation after prestressing the tendon

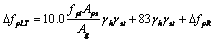
Losses due to stress relaxation after prestressing the tendon, , are found by the following equations. In case of pretension members, losses due to stress relaxation prior to prestressing the tendon, , must be included in the elastic losses, , and used to estimate tendon losses at the time of prestressing the tendon.  

□ For pretension members  

    • For stress-relieved strand:

 

    • For low-relaxation stress-relieved strand: use 30% or 25% of stress-relieved strand

  : AASHTO LRFD Specification 2004

 : AASHTO Standard Specification 2004

□ For post-tension members

    • For stress-relieved strand  

 

    • For low-relaxation stress-relieved strand: use 30% or 25% of stress-relieved strand

: AASHTO LRFD Specification 2004

: AASHTO Standard Specification 2004

: Loss due to relaxation (MPa)

: Loss due to friction (MPa)  

: Loss due to elastic shortening (MPa)

: Loss due to shrinkage (MPa)

: Loss due to creep of concrete (MPa)

 

• Lump Sum Estimate Method

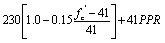
Time dependent losses by Lump Sum Estimate Method as per PCI Bridge Design Manual’04 can be calculated by following the calculation method as per AASHTO LRFD Specification 2004 and AASHTO Standard Specification 2004. In the program, the calculation method as per AASHTO LRFD Specification 2004 has been implemented. Approximate time dependent tendon losses by Lump Sum Method are due to creep, shrinkage and relaxation of tendon. Tendon losses are obtained from the table 1 provided that the following conditions are met. Losses due to elastic shortening are not considered here, which need to be separately considered.

    • Post-tensioned non-segmental members with spans up to 50m and stressed at the concrete age of 10 to 30 days

    • Prestress members stressed after attaining a compressive strength   = 24MPa

Here, following conditions must be satisfied.

    • Members are of normal density concrete

    • The concrete is ether steam- or moist-cured

    • Prestressing bars or strands with normal or low relaxation properties

    • Average exposure conditions and temperatures characterize the site

For segmental concrete bridges, Lump Sum Method may be used only for preliminary design purposes.

For members made from structural low-density concrete, the values specified in Table 1 shall be increased by 35MPa.

For low-relaxation strands, the values specified in Table 1 may be reduced by:  

    • 28MPa for box girders

    • 41MPa for rectangular beams, solid slabs and I-girders

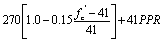
    • 55MPa for single T's, double T's, hollow core and voided slabs

Table 1. Time dependent tendon loses by Lump Sum Estimate Method

Type of Beam Section

Level

Steel wire or strand

( fpu=1620, 1725, 1860Mpa)

Steel bar

( fpu=1000 or 1100Mpa)

Rectangular Beams

and Solid Slabs

Upper Bound

Average

Box Girder

Upper Bound

Average

I Girder

Average

Single T,

Double T,

Hollow Core

and Voided Slab

Upper Bound

Average

Upper bound represents that the concrete is under unfavorable conditions such as low compressive strength, low relative humidity and wet curing.

Partial Prestress Ratio (PPR) is defined by the following equation (2).

 (2)

: Area of nonprestressed tension reinforcement (mm2)

: Area of prestressing steel  

: Specified yield strength of reinforcing bars (MPa)

: Yield strength of prestressing steel (MPa)

 

3. Prestress losses as per Japanese concrete standard specification’02

(1) Prestress load is calculated by the following equation (1).

 (1)

 = Prestressing load of the design section in question

  : Applied prestressing load at the time of prestressing the tendon

  : Prestressing losses during prestressing immediately after prestressing the tendon are calculated by considering the following.

- Elastic shortening of concrete

- Friction losses between tendon and duck

- Anchorage slip of the tendon

  : Time dependent prestressing losses are calculated by considering following.

- Relaxation of prestressing steel  

- Creep of concrete

- Shrinkage of concrete

 

(2) Losses due to elastic shortening of concrete

In the program, losses due to elastic shortening are considered for pretension members only.

 

 = Reduced prestressing losses of the tendon

  = Ratio of modulus of elasticity

 = Compressive stress of concrete at the center of the tendon at the time of prestressing

 

(3) Friction losses between the tendon and the duck

 

  = Tensile load of the tendon at the design section

  = Tensile load of the tendon at the anchorage

  = Friction coefficient for changes of every 1 radian

  = Total change in angle (radian) for the tendon from the anchorage to the calculating position. When the tendon is laid out in the three-dimension, both horizontal and vertical angle changes must be considered.

  = Wobble friction factor for a unit length (mm) of the tendon

  =Length from the anchorage to the design section (mm)

Generally the following friction factors are used.  

 

Friction Factor,

Wobble friction factor,

PC tendon and PC strand

0.3

0.004

PC steel bar

0.3

0.003

Table 1. Friction factor

 

(4) Losses due to anchorage slip

When no friction exists between tendon and sheath (Pretension or Post-tension), tendon losses are calculated by the following equation (1).

(1)

 = Prestressing losses due to the anchorage slip

 = Length changes of the tendon due to the anchorage slip

 = Length of the tendon

 = Cross sectional area of the tendon

 = Modulus of Elasticity of the tendon

When friction exists between tendon and sheath (Post-tension), the draw-in (anchorage slip) is calculated by the equation (2).

(2)

= Influence area due to the anchorage slip ( )

 

(5) Losses due to relaxation of the tendon

The change (reduction) in tendon prestressing due to relaxation of PC steel is calculated by the following equation (1). In the program, the user directly enters the apparent rate of relaxation to calculate losses due to relaxation.

(1)

 = Prestressing losses due to relaxation

 = Tendon prestress immediately after prestressing the tendon

 =  The apparent rate of relaxation of PC steel (%)

When the ratio of the initial tensile stress to the tensile strength is within 0.50~0.75, the relaxation is lineally interpolated.

Type of PC steel

Specification of initial tensile stress/Tensile strength

0.50

0.55

0.60

0.65

0.70

0.75

PC steel wire or PC strand

3.00

3.48

4.92

7.32

10.68

15.00

PC steel bar

1.00

1.24

1.96

3.16

4.84

7.00

Low-relaxation PC steel

1.00

1.12

1.48

2.08

2.92

4.00

Table 2. Relaxation as per initial tensile stress (%)

The apparent rate of relaxation,, which is used for design of members, is calculated from the relaxation of PC steel, , by reflecting the effects of creep and shrinkage of concrete as the following equation (2).  

(2)

: Change (reduction) in tensile stress of PC steel due to creep and shrinkage of concrete.

By substituting the equation (2) into the equation (1), the equation (3) is found to calculate tendon losses due to the relaxation of PC steel.

(3)

 

(6) Shrinkage coefficient on concrete

Shrinkage of concrete is determined by considering ambient temperature around the structure, aspect ratio of the cross section and effects of concrete mix.

□ Shrinkage strain of concrete under the following conditions is calculated by the following equation (1).

- When the drying age is 3~90 days, water-cement ratio is 40~65% and compressive strength is less than 55 in normal strength concrete, or

- When a low water-cement ratio is used to attain high strength up to the compressive strength of 70

 (1)

 : Shrinkage strain from the concrete age of to the concrete age of ( )

 : Final shrinkage strain ()

 

: Relative humidity ()

 : The weight of water per unit volume of concrete  ( )

: Volume-surface area ratio ( )

 

(7) Creep strain of concrete

Creep strain of concrete can be calculated using the approximate method and the detailed method. The program uses the detailed method.

    •  Approximate method

Creep strain of concrete is proportional to the elastic strain due to the applied stresses and can be estimated by the following equation (1).

(1)

 = Compressive creep strain of concrete

 = Creep coefficient

 = Applied compressive stress

= Modulus of elasticity associated with the age at the time of loading

Creep coefficients of prestressed concrete are determined by the tables below, the table 1 for normal concrete and the table 2 for lightweight aggregate concrete  

Condition

Concrete age at time of prestressing or loading

4~7 days

14 days

28 days

90 days

365 days

Exterior

2.7

1.7

1.5

1.3

1.1

Interior

2.4

1.7

1.5

1.3

1.1

Table 1. Creep coefficient of normal concrete

Condition

Concrete age at time of prestressing or loading

4~7 days

14 days

28 days

90 days

365 days

Exterior

2.0

1.3

1.1

1.0

0.8

Interior

1.8

1.3

1.1

1.0

0.8

Table 2. Creep coefficient of lightweight aggregate concrete

    • Detailed method (It is used in the program.)

Creep strain per unit stress of concrete under the following conditions is calculated as the equation (1) below at the time of effective age of (days). Here, drying of concrete starts at the effective age of (days) and loading starts at the effective age of (days).

- When compressive strength is less than 55 in normal strength concrete, or

- When a low water-cement ratio is used to attain high strength up to the compressive strength of 70

(1)

 

 = Final creep strain per unit stress ( )

 : Final standard creep strain per unit stress ( )

: Final drying creep strain per unit stress ( )

: Applied compressive strain

: The weight of cement per unit volume of concrete ( )

: The weight of water per unit volume of concrete ( )

: Water-cement ratio ( )

: Relative humidity ( )

: Volume-surface area ratio ( )

4. Common menu

• Tendon Load

Select the add the load case in which prestressing of the tendon is defined.

• Dead Load (Self Weight)

Select and add the load case in which dead load is defined.

• Additional Dead Load (Superimposed Load)

Select and add the load case in which additional dead load (superimposed load) is defined. Additional Dead Load is activated when PCI Bridge Design Manual 04 is selected as a design code.