Beam Stresses (Equivalent)

 

 

 

Check equivalent stresses such as Von-Mises and Tresca stresses in beam elements in Contours. Entire equivalent stress distribution can be verified for irregular shape steel structures. This feature is available when "Calculate Equivalent Beam Stresses (Von-Mises and Max-Shear)" option is checked on in Main Control Data dialog box.

Applicable section shapes: Angle, Channel, H-Section, T-Section, Box, Pipe, Double Angle, Double Channel, Solid Rectangle, Solid Round

Applicable analysis type: Static Analysis and Response Spectrum Analysis

 

 

 

From the Main Menu select Results > Results > Stresses > Beam Stresses (Equivalent)

 

 

 

Load Cases/Combinations

Select a desired load case, load combination or envelope case.

Click to the right to enter new or modify existing load combinations.
(Refer to "Load Cases / Combinations")

Step
Specify the step for which the analysis results are to be produced. The Step is defined in geometric non-linear analysis as Load Step, and additional steps are defined in the construction stages of bridges or heat of hydration analyses.

Note
The Construction Stage applicable for the output of the construction stage analysis is defined in Select Construction Stage for Display or Stage Toolbar.

 

Components

Select the desired stress component among the following

Normal: Norma stress in the element's local x-direction (). Axial stress + Bending stresses due to My and Mz

Tau-xy: Shear stress in the element's local y-direction ( )

Tau-xz: Shear stress in the element's local z-direction ( )

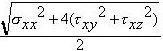
Von-Mises: Von-Mises Stress =

where,

: Maximum principal stress

: Minimum principal stress

Max-Shear: Tresca Stress =

Princ.(max): Maximum principle stress

Princ.(min): Minimum principal stress

 

Position

Select the desired location for the display of stress.

Maximum : Stress representing the absolute largest among equivalent stresses in the points shown in the figure below.

1(-y, +z) : Equivalent stress at 1

2(+y, +z) : Equivalent stress at 2

3(+y, -z) : Equivalent stress at 3

4(-y, -z) : Equivalent stress at 4

5(N.A. -y) : Equivalent stress at 5

6(N.A. +y) : Equivalent stress at 6

7(N.A. -z) : Equivalent stress at 7

8(N.A. +z) : Equivalent stress at 8  

  

 

Type of Display

Define the type of display as follows :

Contour

Display the stresses of beam elements in contour. 

 

Ranges: Define the contour ranges.

: Assign the color distribution range of contour. Using the function, specific colors for specific ranges can be assigned.

Number of Colors: Assign the number of colors to be included in the contour (select among 6, 12, 18, 24 colors)

 

Colors: Assign or control the colors of the contour.

Color Table: Assign the type of Colors.

: Control the colors by zones in the contour.

Reverse Contour: Check on to reverse the sequence of color variation in the contour.

Contour Line: Assign the boundary line color of the contour

Element Edge: Assign the color of element edges while displaying the contour

 

Contour Options: Specify options for contour representation

Contour Fill

Gradient Fill: Display color gradient (shading) in the contour.

Draw Contour Lines: Display color boundaries in the contour.

Draw Contour Line Only
Display only the colored boundaries of the contour.

Mono line: Display the boundaries of the contour in a mono color.

 

Contour Annotation
Legend or annotation signifying the ranges of the contour is displayed.

Spacing: Specify the spacing of the legend or annotation.

Coarse Contour (faster) (for large plate or solid model)
Represent a simplified contour for a large model using plate or solid elements in order to reduce the time required to represent a complete contour.

Extrude
Where plate elements or solid elements along a cutting plane are represented in contour, a three dimensional contour is created. The positive direction of the analysis results is oriented in the z-axis direction of the local element coordinate system.The option is not concurrently applicable with the Deformed Shape option. Similarly, the option cannot be concurrently applied to the cases where the Hidden option is used to display plate element thicknesses or the Both option is used to represent Top & Bottom member forces (stresses).
 

Deform

Display the deformed shape of the model.
 


 

 

Deformation Scale Factor
Magnify or reduce the size of the displacement graphically displayed in the model window.

Deformation Type
Select the type of display for displacement

Nodal Deform: Display the deformed shape reflecting only the nodal displacements.

Real Deform: Display the detail deformed shape calculated along the sections between both ends of beam elements together with the nodal displacements.

Real Displacement (Auto-Scale off): The true deformation of the structure is graphically represented without magnifying or reducing it. This option is typically used for geometric non-linear analysis reflecting large displacement.

Relative Displacement: The deformation of the structure is graphically represented relative to the minimum nodal displacement, which is set to "0"
 

Values

Display the stresses of beam elements in numerical values.
The font type and color for the numbers can be controlled in Display Option.
 


 

 

Decimal Points: Assign decimal points for the displayed numbers

Exp.: Express as exponentials

 

Min & Max: Display the maximum and minimum values

Abs Max: Display the absolute maximum value

Max: Display only the maximum value

Min: Display only the minimum value

Limit Scale(%): Set the screen display limit for stresses in beam elements relative to the selected maximum or minimum value

 

Set Orientation: Display orientation of numerical values

Note
The default Decimal Points can be controlled in "
Preferences".
Set Orientation = 0 horizontally displays the numerical values to the right of nodes or elements. The orientation angle represents the counter-clockwise direction, which may be used to enhance the readability of the numbers.

 

Legend

Display various references related to analysis results to the right or left of the working window.
 


 

Legend Position: Position of the legend in the display window  

Animate

Dynamically simulate the stresses of the beam elements.
Click then click Record to the right of the Animation control board at the bottom of the working window.
 


 

Animation Mode: Determine the type of animation for analysis results.

Animate Contour: Option to change the color of the contour representing the transition according to the magnitudes of variation

Repeat Half/Full Cycle: Select the repetition cycle for the dynamic representation of the transition

Note
Select 'Half Cycle' for the transient shapes of a structure and 'Full Cycle' for dynamically simulating vibration modes or buckling modes.

 

AVI Options: Enter the options required to produce for animation window.

Bits per Pixel: Number of bits per pixel to create the default window for animation

: Assign the method of compressing image data

Frames per Half Cycle (3~300): Number of frames to simulate a 'Half Cycle'

Frames per Second (5~60): Number of frames per second to present dynamic simulation

 

Construction Stage Option: Select the animation options when the construction stage analysis is performed.
 

Stage Animation: Animations by construction stages

Current Stage-Step: Animations by Steps in the current construction stage

From ~ To: Starting and ending construction stages or steps for animations
 

Undeformed

Overlap the undeformed and deformed shapes of the model.
 

Mirrored

"Mirrored" allows the user to expand the analysis results obtained from a half or quarter model into the results for the full model by reflecting planes. 


 

Half Model Mirroring

Quarter Model Mirroring

Mirror by: Specify the mirror plane (s) by designating a plane and a coordinate in the direction perpendicular to the plane in GCS.
 

 

Output Section Location

Assign the section location at which internal stresses of the beam elements are produced in numerical values.

I: Display the stress at the start node (N1) of a beam element.

Center: Display the stress at the center of a beam element.

J: Display the stress at the end node (N2) of a beam element.

Max: Display the maximum stress among the stresses at the quarter points of each beam element, at the center of each element.

All: Display i, j & Max simultaneously.

 

Batch Output Generation ( , )

Given the types of analysis results for Graphic outputs, generate consecutively graphic outputs for selected load cases and combinations. A total number of files equal to the products of the numbers of checked items in the three columns of the dialog box below are created.

 

Assign a Base File Name under which the types of results (selection data in the Batch Output Generation dialog box for graphic outputs) are stored.

Specify the Base Files to perform Batch Output Generation, construction stages, load cases (combinations), steps, etc. in the following dialog box.

Saved Menu-Bar Info's: Listed here are the Base Files. Select the Base File Names for Batch Output.

: Delete all the Base Files selected with the mouse.

When the construction stage analysis is carried out, all the construction stages are listed. We simply select the stages of interests to be included in the batch output. If no construction stage analysis is performed, the column in the dialog box becomes inactive and lists load (combination) conditions.

Stages
The results output of all the construction stages are produced. The construction stages are listed below.

Final Stage Loads
The results output for only the Final Stage are produced. The construction stages are listed below. If no construction stage analysis is performed, the load (combination) conditions are listed.

Use Saved
Apply only the (saved) step or load (combination) condition selected at the time of creating each Base File.

 

Stage LCase/LComb
When the construction stage analysis is carried out, the auto-generated construction stage load conditions and the additionally entered construction stage load combinations are listed. Check on only the load (combination) conditions that will be used to produce batch outputs. This column becomes inactive if "Final Stage Loads" is selected or no construction stage analysis is carried out.

 

Step Option
Specify the steps for which the outputs will be produced when the construction stage analysis or large displacement geometric non-linear analysis is performed.

Saved Step: Use only the steps used for creating the Base Files

All Steps: Use all the steps

 

Output Options

Output File Type
Select a Graphic File type, either BMP or EMF.

Auto Description: At the top left of the Graphic Outputs produced in batch, auto-generate and include the notes such as the types and components of the analysis results, construction stages and steps, load (combination) conditions, etc. The font size, color, type, etc. can be changed upon clicking the button .

Output Path
Specify the path for saving the graphic files to be produced in batch.

File Prefix: Specify the prefix of the Graphic Files to be created. The filenames will be consisted of "Prefix"_"Base File Name"_"Load Comb.".bmp (emf) or "Prefix"_"Base File Name"_"Stage"_"Stage LCase"_"Step".bmp (emf).

 

: Produce the specified batch Graphic Files reflecting the contents of the dialog box.

/
Produce the contents of data input in the Base Files and Batch Output Generation dialog box in a binary type file (fn.bog). Click the button and select a fn.bog to use the same output format.

Note
Import /Export is only meaningful for different projects. In a given structural model, the Base Files are automatically stored and listed.