Reduction Moment at the Inner Support

 

 

 

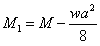
Reduce the bending moment at an interior support of a continuous bridge. The equation of the moment is as shown below. But shall not be less than

But shall not be less than

Where

: Design bending moment at the interior support  

: Bending moment at the interior support  

 : Reaction at the interior support

  : Dispersal width of reaction through a girder at the level of the centroid of the girder.

Design bending moment at the interior support

 

 

 

From the Main Menu select Results > Detail > Beam/Element > Reduction Moment

 

 

 

 Load Cases

Select the load cases for which moment at the interior support is reduced.

  Continuous girder group

Select the girder group in which the girders with the interior supports are included. A group can be defined by clicking  and creating a Structure Group.   

 Inner support point

Distribution width for reduction

Enter the dispersal width, a.

Auto

Calculated by the program.

User input

User directly enters the dispersal width.

Node list  

Enter node numbers corresponding to the interior supports. The node list can be entered by selecting the nodes in the model view or typing the node numbers.

  Option

Add/replace or delete a set of the dispersal widths and associated nodes.