Design Parameters
|
|
|
midas Civil provides the following two types of design check.
The Composite Steel Plate Girders are the ones which are defined using the section database ( Composite Section Tab) of midas Civil. The supported sections are: 1.
Steel I composite section The
Composite General Section is the one modeled in Section Property
Calculator ( Tools -> Section Property Calculator ). [For
More Details]The
composite steel general section can be defined in Section Property
Calculator. Available codes: EN1994-2:2005, AASHTO-LRFD17/16/12/07, CSA-S6-14, IRC:22-2015/2008, SNiP2.05.03-84*, SP35.13330.2011 |
|
|
|
From the Main Menu select Design > Composite Design > Design Parameter |
|
|
midas Civil supports the following
type of Design Checks for Composite Steel Plate Girder Design: midas Civil supports the following type of Design Checks for Composite Steel I Girder, Tub Girder and Box Girder Design: Strength Limit State: Strength Resistance Factor Girder Type for Box/Tub Section Single Box Sections: If the Single Box Sections option is selected, St.Venant torsion and distortion stresses need to be taken into account. The value of distortion stress is determined based on the input value of "Warping Stress Range" option in Fatigue Parameter. Multiple Box Sections Consider St. Venant Torsion and Distortion Stresses: Check on to consider St. Venant torsion in accordance with distortion stress. In case of multiple box sections, St. Venant torsion and distortion stresses may be neglected if the relevant conditions (Article 6.11.2.3) are satisfied. The value of distortion stress is determined based on the input value of "Warping Stress Range" option in Fatigue Parameter. Option for Strength Limit State Appendix A6 for Negative Flexure Resistance in Web Compact/Noncompact Sections: Check on to apply Appendix A6 for the flexure strength of straight composite I-sections in negative flexure with compact/ noncompact webs. Use of Appendix A6 is optional in accordance with the code. Mn≤1.3RhMy in Positive Flexure and Compact Sections(6.10.7.1.2-3): If the three conditions below are not satisfied for the compact sections under positive flexure in a continuous span, the Mn value is restricted to 1.3RhMy. - The span under consideration and all adjacent interior pier sections satisfy the requirements of Article B6.2, - The appropriate value of θRL from Article B6.6.2 exceeds 0.009 radians at all adjacent interior-pier sections - In which case the nominal flexural resistance of the section is not subject to the limitation of Eq. 6.10.7.1.2-3.
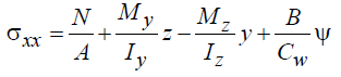
Post-buckling Tension-field Action for Shear Resistance (6.10.9.3.2): Check on to consider post buckling resistance due to tension field action in the nominal shear resistance of an interior stiffened web panel. Include Normal Stress due to Torsional Warping Normal stress due to restrained warping can be introduced in the design of steel composite section to AASHTO LRFD 17. Both Consider Warping Effect (7th dof) option from the Section dialog box and Warping normal stress option from the Design Parameter dialog box should be checked on. Warping normal stress is calculated using bi-moment (B), warping constant (Cw) and warping function (Ψ).
Warping constant (Iw) and warping function (w) can be viewed from the image below. midas Civil supports the following type of Design Checks for Composite Steel I Girder, Tub Girder and Box Girder Design: Strength Limit State: Strength Resistance Factor Girder Type for Box/Tub Section Single Box Sections: If the Single Box Sections option is selected, St.Venant torsion and distortion stresses need to be taken into account. The value of distortion stress is determined based on the input value of "Warping Stress Range" option in Fatigue Parameter. Multiple Box Sections Consider St. Venant Torsion and Distortion Stresses: Check on to consider St. Venant torsion in accordance with distortion stress. In case of multiple box sections, St. Venant torsion and distortion stresses may be neglected if the relevant conditions (Article 6.11.2.3) are satisfied. The value of distortion stress is determined based on the input value of "Warping Stress Range" option in Fatigue Parameter. Option for Strength Limit State Appendix A6 for Negative Flexure Resistance in Web Compact/Noncompact Sections: Check on to apply Appendix A6 for the flexure strength of straight composite I-sections in negative flexure with compact/ noncompact webs. Use of Appendix A6 is optional in accordance with the code. Mn≤1.3RhMy in Positive Flexure and Compact Sections(6.10.7.1.2-3): If the three conditions below are not satisfied for the compact sections under positive flexure in a continuous span, the Mn value is restricted to 1.3RhMy. - The span under consideration and all adjacent interior pier sections satisfy the requirements of Article B6.2, - The appropriate value of θRL from Article B6.6.2 exceeds 0.009 radians at all adjacent interior-pier sections - In which case the nominal flexural resistance of the section is not subject to the limitation of Eq. 6.10.7.1.2-3.
Post-buckling Tension-field Action for Shear Resistance (6.10.9.3.2): Check on to consider post buckling resistance due to tension field action in the nominal shear resistance of an interior stiffened web panel. midas Civil supports the following type of Design Checks for Composite Steel I Girder, Tub Girder and Box Girder Design: Strength
Limit State: Strength Resistance Factor Girder Type for Box/Tub Section Single Box Sections: If Single Box Section is selected, the following clauses of CSA S6-14 are applied for the box/ tub girder design. 10.12.8.4 Moment resistances 10.12.8.5 Combined shear and torsion Multiple Box Sections: If Multiple Box Section is selected, the above clauses are not applied for the box/ tub girder design.
Option for Construction Stage Check Construction Stage Resistance: Check on this option to check moment and shear resistance for the steel section only during construction.
|
|