|
Àû¿ë¹æ½Ä¿¡ µû¸¥ ±¸Ã¼ÀûÀÎ ¿¬°á¿ä¼Ò¸¦ ³ªÅ¸³À´Ï´Ù. Element TypeÀÇ ¹ü¿ë¿¬°á¿ä¼Ò¿¡´Â Spring, Dashpot ¹× Spring and DashpotÀÇ 3°¡Áö ŸÀÔÀ» Á¦°øÇÕ´Ï´Ù.
Force TypeÀÇ ¹ü¿ë¿¬°á¿ä¼Ò¿¡´Â Á¦ÁøÀåÄ¡·Î ÀÌ¿ëÇÏ´Â Viscoelastic Damper, Hysteretic System¿Í ¸éÁøÀåÄ¡·Î ÀÌ¿ëÇÏ´Â Lead Rubber Bearing Isolator, Friction Pendulum System IsolatorÀÌ ÀÖÀ¸¸ç, ¾ÐÃàÀü´ã¿ä¼ÒÀÎ Gap ¹× ÀÎÀåÀü´ã¿ä¼ÒÀÎ Hook·Î 6°¡Áö ŸÀÔÀ» Á¦°øÇÕ´Ï´Ù.
Element Type
Element Type ¹ü¿ë¿¬°á¿ä¼Ò¿¡´Â Spring, Linear Dashpot ¹× Spring and Linear DashpotÀÇ ¼¼°¡Áö Property TypeÀÌ Á¦°øµË´Ï´Ù. SpringÀº 6°³ ¼ººÐ º°·Î ¼±Çüź¼ºÀÎ Stiffness¸¸À» °¡Áö¸ç Linear DashpotÀº 6°³ ¼ººÐ º°·Î ¼±ÇüÁ¡¼ºÀÎ Damping¸¸À» °®½À´Ï´Ù. Spring and Linear DashpotÀº Spring°ú Linear DashpotÀÌ º´·Ä·Î ¿¬°áµÈ ÇüÅÂÀÔ´Ï´Ù.
Spring
SpringÀº Á÷Á¢ÀûºÐ¹ý¿¡ ÀÇÇÑ ºñ¼±Çü½Ã°£ÀÌ·ÂÇØ¼® ½Ã¿¡ Inelastic Hinge Properties¸¦ ºÎ¿©( ¹öư Ŭ¸¯)ÇÏ¿© ºñ¼±Çü ¿ä¼Ò·Î »ç¿ë°¡´ÉÇϸç, ºñ¼±Çü ÇØ¼®°úÁ¤¿¡¼ ¿ä¼Ò °¼ºÇà·ÄÀ» °»½ÅÇÔÀ¸·Î½á ¿ä¼ÒÀÇ ºñ¼±Çü °Åµ¿À» Á÷Á¢ÀûÀ¸·Î ¹Ý¿µÇÕ´Ï´Ù. ÀÌ´Â ÁÖ·Î ±¸Á¶¹°¿¡ ºÎºÐÀûÀ¸·Î ¹ß»ýÇÏ´Â ¼Ò¼ºÈùÁö³ª Áö¹ÝÀÇ ºñ¼±Çü¼ºÀ» ¸ðµ¨¸µÇϱâ À§ÇØ »ç¿ëµË´Ï´Ù.

PushoverÇØ¼®¿¡¼µµ General LinkÀÇ Spring ŸÀÔÀ» ÀÌ¿ëÇÏ¿© ºñź¼ºÈùÁöƯ¼ºÀ» °®´Â °æ°èÁ¶°ÇÀ» ÀÔ·ÂÇÒ ¼ö ÀÖ´Ù.
Linear Dashpot
Spring and Linear Dashpot
Force Type
Force Type ¹ü¿ë¿¬°á¿ä¼Ò´Â Á¦ÁøÀåÄ¡·Î ÀÌ¿ëµÇ´Â Visco-elastic Damper, Hysteretic System, ¸éÁøÀåÄ¡·Î ÀÌ¿ëµÇ´Â Lead Rubber Bearing Isolator, Friction Pendulum System Isolator, ¾ÐÃàÀü´ã¿ä¼ÒÀÎ Gap ¹× ÀÎÀåÀü´ã¿ä¼ÒÀÎ Hook µîÀÇ Property TypeÀÌ Á¦°øµÇ¸ç, ºñ¼±Çü ½Ã°£ÀÌ·ÂÇØ¼®ÀÎ °æ°èºñ¼±ÇüÇØ¼®¿¡ »ç¿ëµË´Ï´Ù. Force Type ¹ü¿ë¿¬°á¿ä¼ÒÀÇ °¢°¢ÀÇ ¼ººÐÀº Linear Properties·Î¼ Effective Stiffness ¹× Effective DampingÀ» °¡Áö¸ç, »ç¿ëÀÚ°¡ ¼±ÅÃÇÑ ¼ººÐ¿¡ ´ëÇØ¼ Nonlinear Properties¸¦ ÀÔ·ÂÇÒ ¼ö ÀÖ½À´Ï´Ù.
Force Type ¹ü¿ë¸µÅ©¿ä¼Ò´Â Á¤ÀûÇØ¼®, ÀÀ´ä½ºÆåÆ®·³Çؼ®¿¡¼´Â Effective Stiffness¸¦ °®´Â ¼±Çü¿ä¼Ò·Î¼ ÇØ¼®µÇ¸ç Effective Damping´Â ¹«½ÃµË´Ï´Ù. ¼±Çü½Ã°£ÀÌ·ÂÇØ¼®¿¡¼´Â Effective Stiffness¿¡ ±âÃÊÇÑ ¼±Çü¿ä¼Ò·Î¼ ÇØ¼®µË´Ï´Ù. ºñ¼±Çü½Ã°£ÀÌ·ÂÇØ¼®¿¡¼´Â Effective Stiffness°¡ °¡»óÀÇ ¼±Çü°¼º ¿ªÇÒÀ» Çϸç, ¿ä¼Ò °¼ºÇà·ÄÀ» °»½ÅÇÏÁö ¾Ê°í, ºñ¼±Çü ¼Ó¼º¿¡ µû¶ó °è»êµÈ ºÎÀç·ÂÀ» ¿ÜºÎ ÇÏÁßÀ¸·Î Ä¡È¯ÇØ ÁÜÀ¸·Î½á °£Á¢ÀûÀ¸·Î ºñ¼±Çü¼ºÀ» °í·ÁÇÕ´Ï´Ù.
-
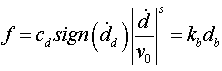
Viscoelastic Damper 
-
Gap 
-
Hook 
-
Hysteretic System 
|