Time Dependent Material (Creep/Shrinkage)

 

 

 

Define the time dependent creep and shrinkage material data for concrete. The properties are applied to Construction stage analysis and Heat of hydration analysis.

 

 

 

From the Main Menu select Properties > Time Dependent Material > Creep/Shrinkage.

 

 

 

Click 03-TDM-3.jpg to define a new time dependent material property (creep/shrinkage). Click 0-Modify.jpg and 0-Delete.jpg to change and delete the data previously entered. Click 0-Copy.jpg to copy previously entered data.

 

00-Check.jpg Name

 

Enter the name of the material property, which is referred to by Time Dependent Material Link.

 

00-Check.jpg Code

Define the Code for which Creep/Shrinkage material properties can be defined.

      •  When CEB-FIP(2010) is selected

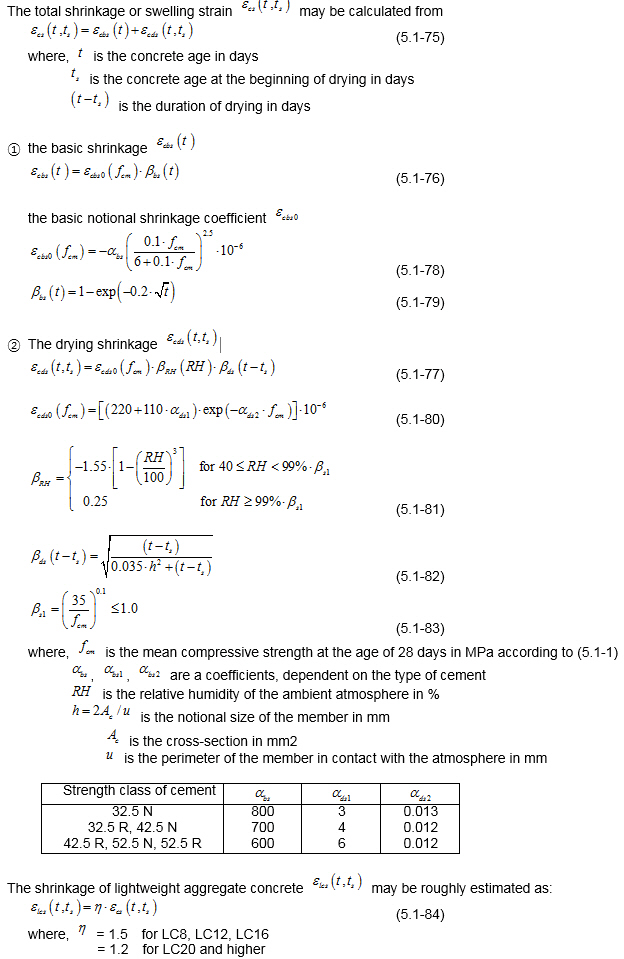
      •  When CEB-FIP(1990) is selected

      •  When CEB-FIP(1978) is selected

      •  When ACI209(1982) Code is selected

      •  When PCA(1986) is selected

      •  When Combined (ACI209(1982) & PCA(1986)) is selected

      •  When INDIA(IRC:18-2000) is selected

      •  When European is selected

      • When AS 3600-2009 is selected

      • When AS/RTA 5100.5-2011 is selected

      •  When User Defined is selected